中國科學技術大學材料物理與化學考研
中國科學技術大學微信
研究生為你答疑,送資源

研究生為你答疑,送資源

95%的同學還閱讀了:[中國科學技術大學考研真題免費下載] [中國科學技術大學歷年保研筆試/面試真題匯.pdf] [中國科學技術大學預推免信息匯總表.xls] [中國科學技術大學保研生源分析表.xls]
[中國科學技術大學研究生招生目錄]
[中國科學技術大學研究生分數線]
[中國科學技術大學王牌專業排名]
[中國科學技術大學考研難嗎]
[中國科學技術大學研究生院]
[中國科學技術大學考研群]
[中國科學技術大學研究生學費]
[中國科學技術大學研究生輔導]
[考研國家線(歷年匯總)]
[年考研時間:報名日期和考試時間]
因為中國科學技術大學材料物理與化學專業研究生數量有限,愿意做考研輔導的數量不確定,請加我們顧問的微信進行咨詢和確認,搶先預訂研究生,以免錯失研究生輔導機會。
中國科學技術大學是一個不錯的學校,深受考研人的追捧,本校每年會有數千名研究生招生的名額,研究生報考錄取比在3:1左右,難度中等,部分熱門的研究生專業研究生報考錄取比會更高一點,請各位準備報考中國科學技術大學材料物理與化學考研的同學注意: 中國科學技術大學材料物理與化學研究生錄取分數線(或稱考研分數線)的數據。因為每年都有不少人報考中國科學技術大學材料物理與化學考研,競爭激烈,所以強烈建議各位準備考中國科學技術大學材料物理與化學研究生的考研人準備一些基本的歷年考研真題、 研究生學姐學長的筆記、考研經驗等等(考研派有考研經驗頻道,也有考研派微信公眾號、考研派APP等產品平臺,里面有不少研究生會免費解答你的考研問題,助你考研一臂之力),另外考研派也會為大家中國科學技術大學材料物理與化學考研的參考書目、考研大綱、研究生招生咨詢電話等聯系方式。希望你考取中國科學技術大學 材料物理與化學專業研究生,考研是個孤獨的事情,需要耐得住寂寞,祝愿各位考研的學生好好復習備考,來年上個985/211,實現自己的名校研究生夢想。

中國科學技術大學碩士專業材料物理與化學介紹
中國科學技術大學碩士專業材料物理與化學介紹:
材料物理與化學學位點是以材料物理、材料化學、固體物理、功能薄膜等為主要學科基礎的研究生培養單位。研究方向涉及新能源材料的光伏、光電、熱電材料和半導體材料、功能納米材料等,涉及無機非金屬功能材料的理論計算、物理和化學制備、性能表征等研究內容。開設的課程包括材料物理、材料化學、固體物理、高等固體物理、材料合成化學、固體材料結構學、納米材料學、材料物理性能、固體的表面和界面、薄膜科學與技術等。培養具有堅實、系統的材料物理與化學理論基礎和實驗技能,了解材料物理與化學發展的前沿和動態,適應我國經濟、科技、教育發展需要,能夠在本學科和相關學科領域獨立開展工作的高層次人才。本學位點共有8名正教授和2名副教授。
材料物理與化學學位點的碩士、博士畢業生主要去向為出國留學、高等院校任教、科研院所從事材料科學與工程、材料物理與化學專業研究、國內半導體材料、電子陶瓷、晶體、薄膜生長等高科技公司從事研發工作。
研究方向:
1.納米材料研究
2.光電功能材料與器件研究
3.量子調控研究
2021中國科學技術大學材料物理與化學080501考研科目及參考書目
材料物理與化學 [080501] 學術學位
專業信息
- 所屬院校:中國科學技術大學
- 招生年份:2021年
- 招生類別:全日制研究生
- 所屬學院:材料科學與工程學院(金屬研究所)
- 所屬門類代碼、名稱:[08]工學
- 所屬一級學科代碼、名稱:[05]材料科學與工程
專業招生詳情
研究方向: | (01)薄膜中的交換耦合、磁電耦合及其輸運性質*(02)磁性相變的中子散射研究* (03)鐵電薄膜和器件的制備與評價 (04)拓撲絕緣體納米結構的制備和輸運性質* (05)低維功能材料的電子結構和磁結構計算 (06)金屬納米材料的物理化學性能 (07)功能材料中的相變和電輸運性質 (08)基于像差校正電子顯微分析的材料基礎科學問題研究 (09)功能氧化物量子材料的構筑以及結構與性能關系研究 (10)鈣鈦礦氧化物薄膜應變弛豫機制與原子尺度極化特性 (11)新型高性能金屬材料在多尺度下結構與力學性能關系研究 (12)增材制造材料和器件的微觀結構與特性 (13)半導體薄膜材料構筑與表征* (14)材料界面行為多尺度計算模擬* (15)金屬間化合物形變結構 (16)鈦合金形變與相變機制的定量電子顯微學研究* (17)先進鐵電薄膜功能材料的顯微結構和力電耦合性能的計算模擬 (18)拓撲金屬的計算設計及物性探索 (19)軸承合金凝固組織計算模擬 (20)原子級分散金屬催化材料 (21)納米能源催化材料與反應過程 (22)納米碳基催化材料 (23)增材制造材料的疲勞與斷裂 (24)高性能軸承材料疲勞與失效 (25)材料形變斷裂機制計算模擬 (26)3D打印金屬疲勞性能 (27)材料損傷愈合機制及抗疲勞制造 (28)鈦合金微觀組織演化模擬* (29)鈦合金應力腐蝕的計算研究 (30)梯度納米結構金屬材料制備與塑性變形* (31)微納器件材料及其服役可靠性* |
|
招生人數: | 2 | |
考試科目: | ①(101)思想政治理論 ②(201)英語一 ③(302)數學二 ④(921)大學物理 或①(101)思想政治理論 ②(201)英語一 ③(302)數學二 ④(922)物理化學C 或①(101)思想政治理論 ②(201)英語一 ③(302)數學二 ④(940)材料科學基礎B |
|
備 注: | 我校招生計劃按學院分配,后期可能根據教育部實際下達計劃數、接收推免數、統考情況、學校發展需要進行調整。 |
2021中國科學技術大學材料物理與化學080501考研科目及參考書目
材料物理與化學 [080501] 學術學位
專業信息
- 所屬院校:中國科學技術大學
- 招生年份:2021年
- 招生類別:全日制研究生
- 所屬學院:研究生院科學島分院
- 所屬門類代碼、名稱:[08]工學
- 所屬一級學科代碼、名稱:[05]材料科學與工程
專業招生詳情
研究方向: | (01)詳見招生簡章 | |
招生人數: | 9 | |
考試科目: | ①(101)思想政治理論 ②(201)英語一 ③(302)數學二 ④(802)材料科學基礎 或①(101)思想政治理論 ②(201)英語一 ③(302)數學二 ④(813)高分子化學與物理 或①(101)思想政治理論 ②(201)英語一 ③(302)數學二 ④(815)固體物理 或①(101)思想政治理論 ②(201)英語一 ③(302)數學二 ④(852)無機化學 或①(101)思想政治理論 ②(201)英語一 ③(302)數學二 ④(853)分析化學 或①(101)思想政治理論 ②(201)英語一 ③(302)數學二 ④(854)有機化學 |
|
備 注: | 我校招生計劃按學院分配,后期可能根據教育部實際下達計劃數、接收推免數、統考情況、學校發展需要進行調整。 |
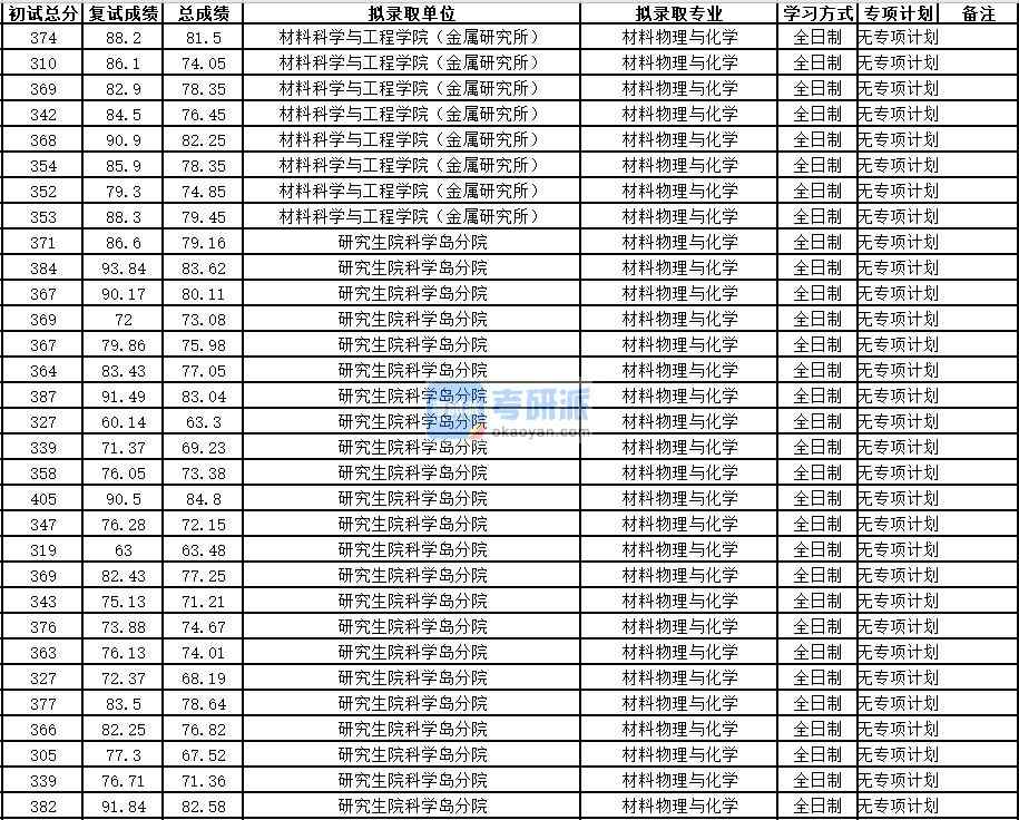
中國科學技術大學材料物理與化學2020年研究生錄取分數線
中國科學技術大學材料物理與化學考研的各位同學,2020年中國科學技術大學材料物理與化學研究生錄取名單終于公布了,中國科學技術大學材料物理與化學是一個不錯的專業,希望各位今年的考研分數線能過中國科學技術大學材料物理與化學2020年的錄取分數線,下面是2020年中國科學技術大學研究生院公布的中國科學技術大學材料物理與化學2020年研究生錄取分數線和中國科學技術大學材料物理與化學研究生擬錄取名單。
中國科學技術大學材料物理與化學2020年研究生復試分數線(或稱考研分數線)和中國科學技術大學材料物理與化學的研究生錄取分數線是兩個不同的概念,前者是進入中國科學技術大學材料物理與化學研究生復試的基本要求線,后者是中國科學技術大學材料物理與化學研究生的錄取分數線,包含了初試復試的綜合成績。本文是中國科學技術大學材料物理與化學2020年研究生錄取分數線,內容來自中國科學技術大學研究生院相關網站,如有出入請以中國科學技術大學官方網站公布的中國科學技術大學材料物理與化學2020年研究生錄取分數線為準。
以下是2020年中國科學技術大學的研究生錄取名單,成績從高到底,供準備報考該專業研究生的同學參考:

2020年中國科學技術大學材料物理與化學研究生錄取分數線
中國科學技術大學材料物理與化學考研的各位同學,2020年中國科學技術大學材料物理與化學研究生錄取名單終于公布了,中國科學技術大學材料物理與化學是一個不錯的專業,希望各位今年的考研分數線能過2020年中國科學技術大學材料物理與化學研究生錄取分數線,下面是2020年中國科學技術大學研究生院公布的2020年中國科學技術大學材料物理與化學研究生錄取分數線和中國科學技術大學材料物理與化學研究生擬錄取名單。
2020年中國科學技術大學材料物理與化學研究生錄取分數線(或稱考研分數線)和中國科學技術大學材料物理與化學的研究生錄取分數線是兩個不同的概念,前者是進入中國科學技術大學材料物理與化學研究生復試的基本要求線,后者是2020年中國科學技術大學材料物理與化學研究生錄取分數線,包含了初試復試的綜合成績。本文是2020年中國科學技術大學材料物理與化學研究生錄取分數線,內容來自中國科學技術大學研究生院相關網站,如有出入請以中國科學技術大學官方網站公布的2020年中國科學技術大學材料物理與化學研究生錄取分數線為準。
以下是2020年中國科學技術大學的研究生錄取名單,成績從高到底,供準備報考該專業研究生的同學參考:

材料物理與化學考研院校
基本信息
專業名稱:材料物理與化學 專業代碼:077301 門類/類別:理學 學科/類別:材料科學與工程
專業點分布
江西理工大學
專業院校排名
本一級學科中,全國具有“博士授權”的高校共 93 所,本次參評89 所;部分具有“碩士授權”的高校 也參加了評估;參評高校共計 172 所(注:評估結果相同的高校排序不分先后,按學校代碼排列)
序號 | 學校代碼 | 學校名稱 | 評選結果 |
1 | 10003 | 清華大學 | A+ |
2 | 10006 | 北京航空航天大學 | A+ |
3 | 10497 | 武漢理工大學 | A+ |
4 | 10008 | 北京科技大學 | A |
5 | 10213 | 哈爾濱工業大學 | A |
6 | 10248 | 上海交通大學 | A |
7 | 10335 | 浙江大學 | A |
8 | 10699 | 西北工業大學 | A |
9 | 10007 | 北京理工大學 | A- |
10 | 10010 | 北京化工大學 | A- |
11 | 10056 | 天津大學 | A- |
12 | 10145 | 東北大學 | A- |
13 | 10358 | 中國科學技術大學 | A- |
14 | 10533 | 中南大學 | A- |
15 | 10561 | 華南理工大學 | A- |
16 | 10610 | 四川大學 | A- |
17 | 10698 | 西安交通大學 | A- |
18 | 10005 | 北京工業大學 | B+ |
19 | 10141 | 大連理工大學 | B+ |
20 | 10183 | 吉林大學 | B+ |
21 | 10216 | 燕山大學 | B+ |
22 | 10246 | 復旦大學 | B+ |
23 | 10247 | 同濟大學 | B+ |
24 | 10251 | 華東理工大學 | B+ |
25 | 10255 | 東華大學 | B+ |
26 | 10280 | 上海大學 | B+ |
27 | 10284 | 南京大學 | B+ |
28 | 10285 | 蘇州大學 | B+ |
29 | 10291 | 南京工業大學 | B+ |
30 | 10422 | 山東大學 | B+ |
31 | 10459 | 鄭州大學 | B+ |
32 | 10487 | 華中科技大學 | B+ |
33 | 10611 | 重慶大學 | B+ |
34 | 90002 | 國防科技大學 | B+ |
35 | 10055 | 南開大學 | B |
36 | 10080 | 河北工業大學 | B |
37 | 10217 | 哈爾濱工程大學 | B |
38 | 10286 | 東南大學 | B |
39 | 10287 | 南京航空航天大學 | B |
40 | 10288 | 南京理工大學 | B |
41 | 10299 | 江蘇大學 | B |
42 | 10359 | 合肥工業大學 | B |
43 | 10384 | 廈門大學 | B |
44 | 10488 | 武漢科技大學 | B |
45 | 10530 | 湘潭大學 | B |
46 | 10532 | 湖南大學 | B |
47 | 10558 | 中山大學 | B |
48 | 10613 | 西南交通大學 | B |
49 | 10614 | 電子科技大學 | B |
50 | 10674 | 昆明理工大學 | B |
51 | 10700 | 西安理工大學 | B |
52 | 10703 | 西安建筑科技大學 | B |
53 | 10058 | 天津工業大學 | B- |
54 | 10060 | 天津理工大學 | B- |
55 | 10110 | 中北大學 | B- |
56 | 10112 | 太原理工大學 | B- |
57 | 10142 | 沈陽工業大學 | B- |
58 | 10289 | 江蘇科技大學 | B- |
59 | 10403 | 南昌大學 | B- |
60 | 10426 | 青島科技大學 | B- |
61 | 10427 | 濟南大學 | B- |
62 | 10464 | 河南科技大學 | B- |
63 | 10486 | 武漢大學 | B- |
64 | 10491 | 中國地質大學 | B- |
65 | 10708 | 陜西科技大學 | B- |
66 | 10731 | 蘭州理工大學 | B- |
67 | 11414 | 中國石油大學 | B- |
68 | 11845 | 廣東工業大學 | B- |
69 | 10109 | 太原科技大學 | C+ |
70 | 10150 | 大連交通大學 | C+ |
71 | 10186 | 長春理工大學 | C+ |
72 | 10190 | 長春工業大學 | C+ |
73 | 10214 | 哈爾濱理工大學 | C+ |
74 | 10337 | 浙江工業大學 | C+ |
75 | 10360 | 安徽工業大學 | C+ |
76 | 10385 | 華僑大學 | C+ |
77 | 10386 | 福州大學 | C+ |
78 | 10408 | 景德鎮陶瓷大學 | C+ |
79 | 10490 | 武漢工程大學 | C+ |
80 | 10512 | 湖北大學 | C+ |
81 | 10619 | 西南科技大學 | C+ |
82 | 10657 | 貴州大學 | C+ |
83 | 10701 | 西安電子科技大學 | C+ |
84 | 10702 | 西安工業大學 | C+ |
85 | 10730 | 蘭州大學 | C+ |
86 | 11065 | 青島大學 | C+ |
87 | 10004 | 北京交通大學 | C |
88 | 10079 | 華北電力大學 | C |
89 | 10128 | 內蒙古工業大學 | C |
90 | 10222 | 佳木斯大學 | C |
91 | 10290 | 中國礦業大學 | C |
92 | 10292 | 常州大學 | C |
93 | 10294 | 河海大學 | C |
94 | 10295 | 江南大學 | C |
95 | 10338 | 浙江理工大學 | C |
96 | 10356 | 中國計量大學 | C |
97 | 10357 | 安徽大學 | C |
98 | 10406 | 南昌航空大學 | C |
99 | 10423 | 中國海洋大學 | C |
100 | 10589 | 海南大學 | C |
101 | 10590 | 深圳大學 | C |
102 | 10595 | 桂林電子科技大學 | C |
103 | 10596 | 桂林理工大學 | C |
104 | 10615 | 西南石油大學 | C |
105 | 10015 | 北京印刷學院 | C- |
106 | 10081 | 華北理工大學 | C- |
107 | 10144 | 沈陽理工大學 | C- |
108 | 10146 | 遼寧科技大學 | C- |
109 | 10149 | 沈陽化工大學 | C- |
110 | 10153 | 沈陽建筑大學 | C- |
111 | 10407 | 江西理工大學 | C- |
112 | 10424 | 山東科技大學 | C- |
113 | 10460 | 河南理工大學 | C- |
114 | 10500 | 湖北工業大學 | C- |
115 | 10559 | 暨南大學 | C- |
116 | 10593 | 廣西大學 | C- |
117 | 10710 | 長安大學 | C- |
118 | 10856 | 上海工程技術大學 | C- |
119 | 10878 | 安徽建筑大學 | C- |
120 | 11035 | 沈陽大學 | C- |
121 | 11660 | 重慶理工大學 | C- |
122 | 90038 | 海軍工程大學 | C- |
材料物理與化學考研院校
基本信息
專業名稱:材料物理與化學 專業代碼:080501 門類/類別:工學 學科/類別:材料科學與工程
專業介紹
北京工商大學為例
材料物理與化學
材料物理與化學專業針對現代信息存儲及顯示產業發展需要,重點培養在磁性薄膜、磁編碼和磁記錄器件、稀土納米復合材料、光電材料與器件等方面的研究人才。本學科擁有多種先進儀器和設備,裝備了JEM2100透射電子顯微鏡(日本電子)、JGP-560a型雙室磁控濺射沉積系統、振動樣品磁強計、X射線衍射儀、Dektak 150臺階儀、HCR-2差熱分析儀、BKT-1H高靈敏薄膜霍爾效應測試儀、SD40多源有機氣相沉積系統等大型儀器,實驗室設備總價值超過2000萬元。
本學科擁有教師11名,其中教授2名,副教授5名,全都具有博士學位,且有多位教師具有海外留學經歷。教師中北京市教學名師1人,北京市優秀教師1人,北京市青年拔尖人才1人,北京市青年骨干教師4人。本學科所屬的材料物理團隊2009年入選北京市創新團隊,目前,本學科承擔國家自然科學基金3項,北京市自然科學基金2項,北京市青年拔尖人才項目1項,北京市教委科技發展計劃項目2項。近3年發表各類論文100余篇(其中SCI收錄論文30篇),出版專著4部,項目經費達到500余萬元。
本專業設置兩個研究方向:(1)磁性功能材料及器件;(2)光功能材料與器件。開設了材料制備與測試、磁性材料、自旋電子學、有機電子學、激光光譜學、材料科學前沿等極具專業特色的課程。本專業學生可以自己動手操作高分辨電子顯微鏡、電鏡樣品制備、磁控濺射及有機蒸鍍薄膜沉積系統、X射線衍射儀、振動樣品磁強計等大型設備。該專業的畢業生具有堅實、系統的材料物理與化學理論基礎與實驗技能、了解材料物理與化學發展的前沿和動態,掌握現代材料研究方法,掌握材料性能與各層次微觀結構之間關系的基本規律,能從事相關材料與器件的設計、研究、生產、性能改進,新材料新技術研究開發等工作。
研究生畢業后可進入科研院所及高科技企業從事教學、科研及開發管理等工作。也可以繼續攻讀物理、材料科學與工程、光學工程等學科相關專業博士學位。
專業點分布
北京石油化工學院 北京師范大學 首都師范大學 北京交通大學 北京航空航天大學 北京理工大學 北京工商大學 北京科技大學 鋼鐵研究總院 中國礦業大學(北京) 中國科學院大學 天津理工大學 南開大學 天津師范大學 天津大學 河北大學 華北理工大學 河北師范大學 燕山大學 中央司法警官學院 太原理工大學 太原科技大學 山西師范大學 內蒙古師范大學 內蒙古工業大學 大連大學 沈陽師范大學 沈陽工業大學 沈陽理工大學 東北大學 遼寧科技大學 大連工業大學 遼寧工業大學 沈陽建筑大學 吉林師范大學 東北師范大學 長春工業大學 吉林大學 哈爾濱師范大學 哈爾濱理工大學 哈爾濱工業大學 黑龍江大學 哈爾濱工程大學 齊齊哈爾大學 佳木斯大學 復旦大學 同濟大學 上海交通大學 東華大學 華東師范大學 華東理工大學 上海工程技術大學 蘇州科技大學 揚州大學 蘇州大學 東南大學 南京航空航天大學 南京理工大學 中國礦業大學 南京工業大學 常州大學 南京大學 江蘇大學 南京林業大學 淮海工學院 中國計量大學 浙江工業大學 安徽大學 淮北師范大學 安徽師范大學 中國科學技術大學 合肥工業大學 安徽理工大學 安徽建筑大學 福建師范大學 福州大學 廈門大學 景德鎮陶瓷大學 江西師范大學 江西理工大學 南昌航空大學 華東交通大學 煙臺大學 濟南大學 山東理工大學 聊城大學 山東大學 中國海洋大學 山東科技大學 青島科技大學 齊魯工業大學 鄭州大學 鄭州輕工業學院 河南大學 河南科技大學 河南師范大學 武漢大學 華中科技大學 武漢科技大學 武漢工程大學 武漢理工大學 湖北工業大學 湖北大學 華中師范大學 湖北汽車工業學院 湖南工業大學 中南大學 湘潭大學 廣東工業大學 中山大學 華南理工大學 深圳大學 華南師范大學 汕頭大學 桂林電子科技大學 廣西大學 海南大學 重慶理工大學 重慶大學 西南大學 西南石油大學 西南民族大學 四川大學 成都理工大學 西南科技大學 昆明貴金屬研究所 昆明理工大學 云南大學 西北大學 西安交通大學 西北工業大學 西安理工大學 西安工業大學 西安建筑科技大學 西安科技大學 西安石油大學 陜西科技大學 陜西師范大學 陜西理工大學 蘭州大學 蘭州理工大學 北方民族大學 新疆大學
專業院校排名
0805 材料科學與工程
本一級學科中,全國具有“博士授權”的高校共 93 所,本次參評89 所;部分具有“碩士授權”的高校 也參加了評估;參評高校共計 172 所(注:評估結果相同的高校排序不分先后,按學校代碼排列)
序號 | 學校代碼 | 學校名稱 | 評選結果 |
1 | 10003 | 清華大學 | A+ |
2 | 10006 | 北京航空航天大學 | A+ |
3 | 10497 | 武漢理工大學 | A+ |
4 | 10008 | 北京科技大學 | A |
5 | 10213 | 哈爾濱工業大學 | A |
6 | 10248 | 上海交通大學 | A |
7 | 10335 | 浙江大學 | A |
8 | 10699 | 西北工業大學 | A |
9 | 10007 | 北京理工大學 | A- |
10 | 10010 | 北京化工大學 | A- |
11 | 10056 | 天津大學 | A- |
12 | 10145 | 東北大學 | A- |
13 | 10358 | 中國科學技術大學 | A- |
14 | 10533 | 中南大學 | A- |
15 | 10561 | 華南理工大學 | A- |
16 | 10610 | 四川大學 | A- |
17 | 10698 | 西安交通大學 | A- |
18 | 10005 | 北京工業大學 | B+ |
19 | 10141 | 大連理工大學 | B+ |
20 | 10183 | 吉林大學 | B+ |
21 | 10216 | 燕山大學 | B+ |
22 | 10246 | 復旦大學 | B+ |
23 | 10247 | 同濟大學 | B+ |
24 | 10251 | 華東理工大學 | B+ |
25 | 10255 | 東華大學 | B+ |
26 | 10280 | 上海大學 | B+ |
27 | 10284 | 南京大學 | B+ |
28 | 10285 | 蘇州大學 | B+ |
29 | 10291 | 南京工業大學 | B+ |
30 | 10422 | 山東大學 | B+ |
31 | 10459 | 鄭州大學 | B+ |
32 | 10487 | 華中科技大學 | B+ |
33 | 10611 | 重慶大學 | B+ |
34 | 90002 | 國防科技大學 | B+ |
35 | 10055 | 南開大學 | B |
36 | 10080 | 河北工業大學 | B |
37 | 10217 | 哈爾濱工程大學 | B |
38 | 10286 | 東南大學 | B |
39 | 10287 | 南京航空航天大學 | B |
40 | 10288 | 南京理工大學 | B |
41 | 10299 | 江蘇大學 | B |
42 | 10359 | 合肥工業大學 | B |
43 | 10384 | 廈門大學 | B |
44 | 10488 | 武漢科技大學 | B |
45 | 10530 | 湘潭大學 | B |
46 | 10532 | 湖南大學 | B |
47 | 10558 | 中山大學 | B |
48 | 10613 | 西南交通大學 | B |
49 | 10614 | 電子科技大學 | B |
50 | 10674 | 昆明理工大學 | B |
51 | 10700 | 西安理工大學 | B |
52 | 10703 | 西安建筑科技大學 | B |
53 | 10058 | 天津工業大學 | B- |
54 | 10060 | 天津理工大學 | B- |
55 | 10110 | 中北大學 | B- |
56 | 10112 | 太原理工大學 | B- |
57 | 10142 | 沈陽工業大學 | B- |
58 | 10289 | 江蘇科技大學 | B- |
59 | 10403 | 南昌大學 | B- |
60 | 10426 | 青島科技大學 | B- |
61 | 10427 | 濟南大學 | B- |
62 | 10464 | 河南科技大學 | B- |
63 | 10486 | 武漢大學 | B- |
64 | 10491 | 中國地質大學 | B- |
65 | 10708 | 陜西科技大學 | B- |
66 | 10731 | 蘭州理工大學 | B- |
67 | 11414 | 中國石油大學 | B- |
68 | 11845 | 廣東工業大學 | B- |
69 | 10109 | 太原科技大學 | C+ |
70 | 10150 | 大連交通大學 | C+ |
71 | 10186 | 長春理工大學 | C+ |
72 | 10190 | 長春工業大學 | C+ |
73 | 10214 | 哈爾濱理工大學 | C+ |
74 | 10337 | 浙江工業大學 | C+ |
75 | 10360 | 安徽工業大學 | C+ |
76 | 10385 | 華僑大學 | C+ |
77 | 10386 | 福州大學 | C+ |
78 | 10408 | 景德鎮陶瓷大學 | C+ |
79 | 10490 | 武漢工程大學 | C+ |
80 | 10512 | 湖北大學 | C+ |
81 | 10619 | 西南科技大學 | C+ |
82 | 10657 | 貴州大學 | C+ |
83 | 10701 | 西安電子科技大學 | C+ |
84 | 10702 | 西安工業大學 | C+ |
85 | 10730 | 蘭州大學 | C+ |
86 | 11065 | 青島大學 | C+ |
87 | 10004 | 北京交通大學 | C |
88 | 10079 | 華北電力大學 | C |
89 | 10128 | 內蒙古工業大學 | C |
90 | 10222 | 佳木斯大學 | C |
91 | 10290 | 中國礦業大學 | C |
92 | 10292 | 常州大學 | C |
93 | 10294 | 河海大學 | C |
94 | 10295 | 江南大學 | C |
95 | 10338 | 浙江理工大學 | C |
96 | 10356 | 中國計量大學 | C |
97 | 10357 | 安徽大學 | C |
98 | 10406 | 南昌航空大學 | C |
99 | 10423 | 中國海洋大學 | C |
100 | 10589 | 海南大學 | C |
101 | 10590 | 深圳大學 | C |
102 | 10595 | 桂林電子科技大學 | C |
103 | 10596 | 桂林理工大學 | C |
104 | 10615 | 西南石油大學 | C |
105 | 10015 | 北京印刷學院 | C- |
106 | 10081 | 華北理工大學 | C- |
107 | 10144 | 沈陽理工大學 | C- |
108 | 10146 | 遼寧科技大學 | C- |
109 | 10149 | 沈陽化工大學 | C- |
110 | 10153 | 沈陽建筑大學 | C- |
111 | 10407 | 江西理工大學 | C- |
112 | 10424 | 山東科技大學 | C- |
113 | 10460 | 河南理工大學 | C- |
114 | 10500 | 湖北工業大學 | C- |
115 | 10559 | 暨南大學 | C- |
116 | 10593 | 廣西大學 | C- |
117 | 10710 | 長安大學 | C- |
118 | 10856 | 上海工程技術大學 | C- |
119 | 10878 | 安徽建筑大學 | C- |
120 | 11035 | 沈陽大學 | C- |
121 | 11660 | 重慶理工大學 | C- |
122 | 90038 | 海軍工程大學 | C- |
材料物理與化學考研考什么
參考書目:
(101)思想政治理論;
(101)思想政治理論;
(201)英語一;
(302)數學二;
(818)高分子物理與化學。
高分子合成化學
高分子凝聚態物理
有機化合物結構分析與鑒定
高等有機化學
材料界面科學
固體化學導論
功能材料學
等離子體化學與技術
生物醫用材料
薄膜技術
含能材料燃燒與催化
樹脂基復合材料
材料物理與化學專業考研參考書目,有時候也叫考研指定教材,基本上可以說是考研專業課復習最重要的考研輔導資料。
考研專業課的考核是很有針對性的,因為考研 東南大學土木工程學院材料物理與化學專業的專業課考試是學校自己命題,這就要求考生要完全按照報考院校的要求進行非常有針對性的復習,具體來說就是一定要用東南大學土木工程學院材料物理與化學專業考研指定教材進行復習,進行認真的鉆研,考研真題試卷最終是根據考研指定教材出的,如果不按照東南大學考研指定的書目進行復習,那么即使復習的再好,實力再強,也很有可能會在專業課上栽跟頭。如果指定的參考書目版本找不到,用新版的即可,新版有些東西是舊版本上沒有的,大綱上沒有列出可能是沒有注意到新版本,或是舊版本是老一輩學者用慣了的,其實都無所謂的。
2022材料物理與化學專業考研群
微信搜索公眾號“考研派之家”,關注【考研派之家】微信公眾號,在考研派之家微信號輸入【中國科學技術大學考研分數線、中國科學技術大學報錄比、中國科學技術大學考研群、中國科學技術大學學姐、中國科學技術大學考研真題、中國科學技術大學專業目錄、中國科學技術大學排名、中國科學技術大學保研、中國科學技術大學公眾號、中國科學技術大學研究生招生)】即可在手機上查看相對應中國科學技術大學考研信息或資源。


中國科學技術大學材料物理與化學考研 推薦
- 中國科學技術大學材料物理與化學考研
- 中國科學技術大學材料物理與化學考研參考書目
- 中國科學技術大學材料物理與化學考研QQ群
- 中國科學技術大學材料物理與化學考研難嗎
- 中國科學技術大學材料物理與化學考研考試科目
- 中國科學技術大學材料物理與化學研究生分數線
- 中國科學技術大學材料物理與化學研究生一對一輔導
- 中國科學技術大學材料物理與化學研究生輔導
- 中國科學技術大學材料物理與化學考研輔導
- 中國科學技術大學材料物理與化學考研參考書目
- 中國科學技術大學研究生院科學島分院材料物理與化學保研夏令營
- 中國科學技術大學研究生院科學島分院材料物理與化學保研
- 中國科學技術大學研究生院科學島分院材料物理與化學保研細則
- 中國科學技術大學研究生院科學島分院材料物理與化學保研條件
- 中國科學技術大學研究生院科學島分院保研夏令營
- 中國科學技術大學材料物理與化學考研論壇
- 中國科學技術大學材料物理與化學考研分數線
- 中國科學技術大學材料物理與化學考研真題
- 廣西大學材料物理與化學考研
- 河南大學材料物理與化學考研
- 華南理工大學材料物理與化學考研
- 中國科學技術大學材料物理與化學考研
- 哈爾濱工業大學材料物理與化學考研
- 廈門大學材料物理與化學考研
- 中國科學技術大學材料物理與化學考研
- 北京師范大學材料物理與化學考研
- 汕頭大學材料物理與化學考研
- 東北師范大學材料物理與化學考研
- 西南大學材料物理與化學考研
- 復旦大學材料物理與化學考研
- 江漢大學材料物理與化學考研
- 湖北工業大學材料物理與化學考研
- 中南大學材料物理與化學考研
- 東北大學材料物理與化學考研
- 廣東工業大學材料物理與化學考研
- 哈爾濱工業大學材料物理與化學考研
- 陜西師范大學材料物理與化學考研
- 蘇州大學材料物理與化學考研
- 四川大學材料物理與化學考研
- 山東大學材料物理與化學考研
- 福建師范大學材料物理與化學考研
- 蘭州理工大學材料物理與化學考研
- 昆明理工大學材料物理與化學考研
- 北方民族大學材料物理與化學考研
- 首都師范大學材料物理與化學考研
- 安徽理工大學材料物理與化學考研
- 鄭州大學材料物理與化學考研
- 西安電子科技大學材料物理與化學考研
- 福州大學材料物理與化學考研
- 中國科學院大學材料物理與化學考研
- 北京石油化工學院材料物理與化學考研
- 華南師范大學材料物理與化學考研
- 南京工業大學材料物理與化學考研
- 東華大學材料物理與化學考研
- 南京大學材料物理與化學考研
- 江漢大學材料物理與化學考研
- 湖北汽車工業學院材料物理與化學考研
- 天津師范大學材料物理與化學考研
- 吉林師范大學材料物理與化學考研
- 武漢工程大學材料物理與化學考研
- 燕山大學材料物理與化學考研
- 廣西大學材料物理與化學考研
- 青島大學材料物理與化學考研
- 西北工業大學材料物理與化學考研
- 西安工業大學材料物理與化學考研
- 沈陽理工大學材料物理與化學考研
- 東南大學材料物理與化學考研
- 江漢大學材料物理與化學考研
- 蘇州科技大學材料物理與化學考研
- 河南大學材料物理與化學考研
- 暨南大學材料物理與化學考研
- 中國科學院大學材料物理與化學考研
- 中南大學材料物理與化學考研
- 云南大學材料物理與化學考研
- 齊齊哈爾大學材料物理與化學考研
- 中國科學院大學材料物理與化學考研
- 南京理工大學材料物理與化學考研
- 中國科學院大學材料物理與化學考研
中國科學技術大學研究生學姐

加學姐,獲免費答疑,進考研群
中國科學技術大學考研網由中國科學技術大學研究生維護,發布最新的中國科學技術大學研究生招生信息,還提供中國科學技術大學研究生1對1輔導和考研真題等服務,有問題請加微信溝通。