北京科技大學國際貿易學考研參考書目
微信搜索公眾號“考研派之家”,關注【考研派之家】微信公眾號,在考研派之家微信號輸入【北京科技大學考研分數線、北京科技大學報錄比、北京科技大學考研群、北京科技大學學姐、北京科技大學考研真題、北京科技大學專業目錄、北京科技大學排名、北京科技大學保研、北京科技大學公眾號、北京科技大學研究生招生)】即可在手機上查看相對應北京科技大學考研信息或資源。
北京科技大學國際貿易學考研參考書目信息,是考研之前需要獲取相應的考研信息,比如考試大綱、招考專業、招考目錄等等基本信息,這些內容是進行考研前期工作的必要準備。考生可以從各院校的研招網進行查詢,每年的9月左右就會公布下一年度的招生計劃。考生應當仔細閱讀相關文件的要求和信息,部分專業的名稱相近,內容也比較繁雜,容易混淆或遺漏,考生要仔細區分。另外各大考研網站的相應版塊也會有歷年的招生信息匯總,北京科技大學國際貿易學考研參考書目信息內總結了各大院校的歷年招生信息,方便考生查詢和選擇。最后,考研派的小編預祝各位考研的同學都可以考取理想的學校。
研究生為你答疑,送資源

北京科技大學
北京科技大學國際貿易學考研參考書目信息網是考生獲取考研信息的最基本、最官方的渠道,該網站會提供各種有關考研的資訊和內容,比如歷年的考研招生計劃、考試計劃、考試內容、考試大綱、考試政策、報錄比、錄取名單、復試名單、復試分數線、推免政策等等內容,北京科技大學國際貿易學招生信息網提供的信息是最為準確和官方的,是考生進行考研的信息主要來源,北京科技大學國際貿易學的小編提醒各位考生要時刻關注研究生招生信息網,一切信息變動要以該網站提供的內容為主。北京科技大學國際貿易學考研參考書目信息網會公布研招辦以及各個院系的招生負責人電話,考生在備考過程中遇到問題或疑惑時可以打電話進行咨詢。最后,北京科技大學國際貿易學的小編預祝各位考研的同學都可以考取理想的學校。

北京科技大學國際貿易學020206考研科目及參考書目
專業信息
- 所屬院校:北京科技大學
- 招生年份:2020年
- 招生類別:全日制研究生
- 所屬學院:東凌經濟管理學院
- 所屬門類代碼、名稱:[02]經濟學
- 所屬一級學科代碼、名稱:[02]應用經濟學
專業招生詳情
研究方向: | 01 國際貿易(全日制) 02 國際經濟(全日制) 03 國際投資(全日制) 04 跨國公司(全日制) |
|
招生人數: | 10 | |
考試科目: | ①101 思想政治理論 ②201 英語一 ③303 數學三 ④824 管理學與經濟學基礎 |
|
備 注: | 復試科目:561 國際貿易學 |
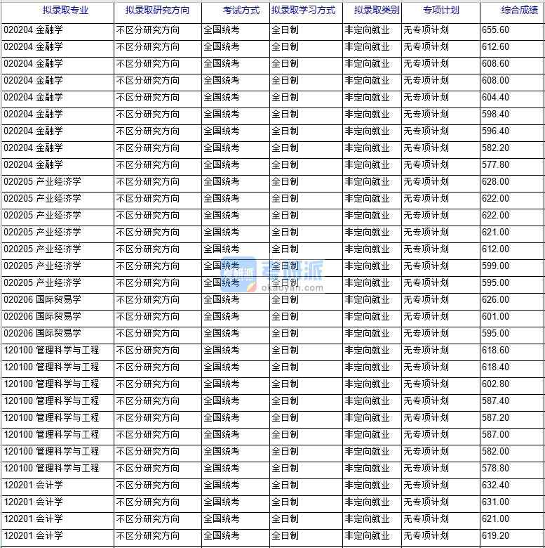
北京科技大學國際貿易學2020年研究生錄取分數線

2021北京科技大學國際貿易學020206考研科目及參考書目
專業信息
- 所屬院校:北京科技大學
- 招生年份:2021年
- 招生類別:全日制研究生
- 所屬學院:經濟管理學院
- 所屬門類代碼、名稱:[02]經濟學
- 所屬一級學科代碼、名稱:[02]應用經濟學
專業招生詳情
研究方向: | 01 國際貿易(全日制) 02 國際經濟(全日制) 03 國際投資(全日制) 04 跨國公司(全日制) |
|
招生人數: | 10 | |
考試科目: | ①101 思想政治理論 ②201 英語一 ③303 數學三 ④824 管理學與經濟學基礎 復試科目:561 國際貿易學 |
|
備 注: | 本專業不招收同等學力考生 全日制擬招人數:10 推免生擬招人數:7 |
2021北京科技大學國際貿易學020206考研科目及參考書目
專業信息
- 所屬院校:北京科技大學
- 招生年份:2021年
- 招生類別:全日制研究生
- 所屬學院:經濟管理學院
- 所屬門類代碼、名稱:[02]經濟學
- 所屬一級學科代碼、名稱:[02]應用經濟學
專業招生詳情
研究方向: | 01 國際貿易(全日制) 02 國際經濟(全日制) 03 國際投資(全日制) 04 跨國公司(全日制) |
|
招生人數: | 10 | |
考試科目: | ①101 思想政治理論 ②201 英語一 ③303 數學三 ④824 管理學與經濟學基礎 復試科目:561 國際貿易學 |
|
備 注: | 本專業不招收同等學力考生 全日制擬招人數:10 推免生擬招人數:7 |
國際貿易學考研院校
專業名稱:國際貿易學 專業代碼:020206 門類/類別:經濟學 學科/類別:應用經濟學開設專業院校:
北京師范大學 北京第二外國語學院 中央財經大學 北京物資學院 中國人民大學 北京航空航天大學 北京理工大學 北京工商大學 中國農業大學 北京林業大學 北京科技大學 對外經濟貿易大學 商務部國際貿易經濟合作研究院 中國政法大學 中國社會科學院大學 天津工業大學 南開大學 天津商業大學 天津財經大學 河北經貿大學 河北大學 山西財經大學 內蒙古財經大學 東北財經大學 大連海事大學 遼寧大學 大連理工大學 沈陽工業大學 沈陽理工大學 東北大學 吉林財經大學 東北師范大學 長春工業大學 吉林大學 哈爾濱商業大學 哈爾濱工業大學 黑龍江大學 哈爾濱工程大學 東北林業大學 東北農業大學 上海社會科學院 上海海事大學 復旦大學 同濟大學 上海交通大學 上海理工大學 東華大學 華東師范大學 上海外國語大學 上海財經大學 華東政法大學 上海對外經貿大學 南京審計大學 蘇州大學 東南大學 南京航空航天大學 南京理工大學 江南大學 南京財經大學 南京大學 南京農業大學 江蘇大學 寧波大學 浙江工商大學 浙江大學 杭州電子科技大學 安徽大學 安徽財經大學 安徽工業大學 合肥工業大學 福州大學 廈門大學 江西財經大學 山東財經大學 山東大學 中國海洋大學 青島科技大學 山東農業大學 山東工商學院 河南財經政法大學 鄭州大學 河南工業大學 河南大學 武漢大學 華中科技大學 武漢理工大學 華中農業大學 中南財經政法大學 湖北大學 中南大學 湘潭大學 廣東工業大學 廣東財經大學 中山大學 華南農業大學 暨南大學 深圳大學 廣西大學 海南大學 重慶理工大學 重慶工商大學 重慶大學 西南民族大學 四川大學 西南財經大學 貴州財經大學 貴州大學 云南財經大學 云南師范大學 云南大學 西北大學 西安交通大學 西安理工大學 陜西師范大學 西安財經學院 蘭州財經大學 新疆財經大學
專業解析:
以天津商業大學為例一、學科概況
國際貿易學是研究國家(地區)間商品與勞務交換的理論與方法的學科,是一門理論與實踐緊密結合,具有很強實踐性和應用性特點的學科。它同世界經濟學、金融學、國際法學等學科關系密切。它對推動國際經濟交流與合作,促進各國和全球經濟發展有著重要作用。在全球經濟一體化日益增強的背景下,具有廣闊的發展前景。隨著我國對外開放的深入,國際貿易在我國經濟發展建設中的地位大大提高,國際貿易理論研究就顯得尤為重要。本學科將為我國經濟與國際經濟接軌做出有益的貢獻。
國際貿易專業碩士點設立于2003年,歸屬于天津商業大學經濟學院。盡管國際貿易專業碩士點是一個新建的碩士點,但卻有著雄厚的師資力量和支撐學科發展的國際貿易和世界經濟教研科室,尤為突出的是WTO研究中心和現代日本經濟研究所的設立,為該學科的發展奠定了基礎。
天津商業大學從事國際貿易學專業教學與研究的教師共有18人,其中教授5人、副教授5人、博士5人,在讀博士7人, 45歲以下的教師占85%。年富力強,精明強干是國際貿易專業學術團隊的一大特點。最為突出的是該專業科研成果突出,承擔省部級以上課題15項,獲省部級獎4項,在國內核心期刊發表論文百余篇,出版專著或教材50多部,一些成果產生了一定的社會影響。
二、培養目標
本學科致力于培養堅持馬克思主義經濟理論為指導,堅持改革開放,具有嚴謹求實的思想作風和較高精神文明修養,德智體全面發展,努力為建設中國特色社會主義服務的高層次專門人才。
本學科培養目標要求學生具有扎實的經濟學理論基礎,掌握國際經濟學基本原理和較系統的國際貿易專門知識;較為熟練地掌握一門外語并能閱讀本專業的外文資料;能夠理論聯系實際,具有觀察分析國際經濟關系與國際貿易問題的能力;畢業后可承擔本學科教學、科研工作和中高層的對外貿易管理工作。
三、研究方向
國際貿易學專業下設三個研究方向
(1)國際貿易政策研究
(2)中日經貿關系研究
(3)服務業與服務貿易研究
此專業大學排名:
0202 應用經濟學本一級學科中,全國具有“博士授權”的高校共 66 所,本次參評58 所;部分具有“碩士授權”的高校 也參加了評估;參評高校共計 155 所(注:評估結果相同的高校排序不分先后,按學校代碼排列)
序號 | 學校代碼 | 學校名稱 | 評選結果 |
1 | 10001 | 北京大學 | A+ |
2 | 10002 | 中國人民大學 | A+ |
3 | 10034 | 中央財經大學 | A+ |
4 | 10036 | 對外經濟貿易大學 | A |
5 | 10173 | 東北財經大學 | A |
6 | 10272 | 上海財經大學 | A |
7 | 10384 | 廈門大學 | A |
8 | 10003 | 清華大學 | A- |
9 | 10055 | 南開大學 | A- |
10 | 10246 | 復旦大學 | A- |
11 | 10421 | 江西財經大學 | A- |
12 | 10422 | 山東大學 | A- |
13 | 10520 | 中南財經政法大學 | A- |
14 | 10651 | 西南財經大學 | A- |
15 | 10698 | 西安交通大學 | A- |
16 | 10004 | 北京交通大學 | B+ |
17 | 10038 | 首都經濟貿易大學 | B+ |
18 | 10070 | 天津財經大學 | B+ |
19 | 10140 | 遼寧大學 | B+ |
20 | 10183 | 吉林大學 | B+ |
21 | 10284 | 南京大學 | B+ |
22 | 10286 | 東南大學 | B+ |
23 | 10335 | 浙江大學 | B+ |
24 | 10353 | 浙江工商大學 | B+ |
25 | 10456 | 山東財經大學 | B+ |
26 | 10486 | 武漢大學 | B+ |
27 | 10487 | 華中科技大學 | B+ |
28 | 10532 | 湖南大學 | B+ |
29 | 10558 | 中山大學 | B+ |
30 | 10559 | 暨南大學 | B+ |
31 | 11482 | 浙江財經大學 | B+ |
32 | 10007 | 北京理工大學 | B |
33 | 10011 | 北京工商大學 | B |
34 | 10125 | 山西財經大學 | B |
35 | 10141 | 大連理工大學 | B |
36 | 10247 | 同濟大學 | B |
37 | 10269 | 華東師范大學 | B |
38 | 10273 | 上海對外經貿大學 | B |
39 | 10280 | 上海大學 | B |
40 | 10327 | 南京財經大學 | B |
41 | 10357 | 安徽大學 | B |
42 | 10423 | 中國海洋大學 | B |
43 | 10497 | 武漢理工大學 | B |
44 | 10593 | 廣西大學 | B |
45 | 10611 | 重慶大學 | B |
46 | 10689 | 云南財經大學 | B |
47 | 10200 | 東北師范大學 | B- |
48 | 10240 | 哈爾濱商業大學 | B- |
49 | 10251 | 華東理工大學 | B- |
50 | 10285 | 蘇州大學 | B- |
51 | 10319 | 南京師范大學 | B- |
52 | 10337 | 浙江工業大學 | B- |
53 | 10378 | 安徽財經大學 | B- |
54 | 10385 | 華僑大學 | B- |
55 | 10475 | 河南大學 | B- |
56 | 10491 | 中國地質大學 | B- |
57 | 10534 | 湖南科技大學 | B- |
58 | 10610 | 四川大學 | B- |
59 | 10730 | 蘭州大學 | B- |
60 | 11799 | 重慶工商大學 | B- |
61 | 11846 | 廣東外語外貿大學 | B- |
62 | 90026 | 軍事經濟學院 | B- |
63 | 10027 | 北京師范大學 | C+ |
64 | 10207 | 吉林財經大學 | C+ |
65 | 10403 | 南昌大學 | C+ |
66 | 10427 | 濟南大學 | C+ |
67 | 10459 | 鄭州大學 | C+ |
68 | 10484 | 河南財經政法大學 | C+ |
69 | 10511 | 華中師范大學 | C+ |
70 | 10536 | 長沙理工大學 | C+ |
71 | 10574 | 華南師范大學 | C+ |
72 | 10592 | 廣東財經大學 | C+ |
73 | 10697 | 西北大學 | C+ |
74 | 10766 | 新疆財經大學 | C+ |
75 | 11560 | 西安財經學院 | C+ |
76 | 11646 | 寧波大學 | C+ |
77 | 11832 | 河北經貿大學 | C+ |
78 | 10008 | 北京科技大學 | C |
79 | 10075 | 河北大學 | C |
80 | 10126 | 內蒙古大學 | C |
81 | 10270 | 上海師范大學 | C |
82 | 10276 | 華東政法大學 | C |
83 | 10290 | 中國礦業大學 | C |
84 | 10295 | 江南大學 | C |
85 | 10299 | 江蘇大學 | C |
86 | 10320 | 江蘇師范大學 | C |
87 | 10338 | 浙江理工大學 | C |
88 | 10433 | 山東理工大學 | C |
89 | 10589 | 海南大學 | C |
90 | 10652 | 西南政法大學 | C |
91 | 10656 | 西南民族大學 | C |
92 | 10671 | 貴州財經大學 | C |
93 | 10673 | 云南大學 | C |
94 | 10741 | 蘭州財經大學 | C |
95 | 11287 | 南京審計大學 | C |
96 | 11414 | 中國石油大學 | C |
97 | 10052 | 中央民族大學 | C- |
98 | 10053 | 中國政法大學 | C- |
99 | 10058 | 天津工業大學 | C- |
100 | 10069 | 天津商業大學 | C- |
101 | 10139 | 內蒙古財經大學 | C- |
102 | 10360 | 安徽工業大學 | C- |
103 | 10602 | 廣西師范大學 | C- |
104 | 10657 | 貴州大學 | C- |
105 | 10681 | 云南師范大學 | C- |
106 | 10718 | 陜西師范大學 | C- |
107 | 10759 | 石河子大學 | C- |
108 | 11664 | 西安郵電大學 | C- |
國際貿易學研究生院校排名
序號 | 學校代碼 | 學校名稱 | 評選結果 |
1 | 10001 | 北京大學 | A+ |
2 | 10002 | 中國人民大學 | A+ |
3 | 10034 | 中央財經大學 | A+ |
4 | 10036 | 對外經濟貿易大學 | A |
5 | 10173 | 東北財經大學 | A |
6 | 10272 | 上海財經大學 | A |
7 | 10384 | 廈門大學 | A |
8 | 10003 | 清華大學 | A- |
9 | 10055 | 南開大學 | A- |
10 | 10246 | 復旦大學 | A- |
11 | 10421 | 江西財經大學 | A- |
12 | 10422 | 山東大學 | A- |
13 | 10520 | 中南財經政法大學 | A- |
14 | 10651 | 西南財經大學 | A- |
15 | 10698 | 西安交通大學 | A- |
16 | 10004 | 北京交通大學 | B+ |
17 | 10038 | 首都經濟貿易大學 | B+ |
18 | 10070 | 天津財經大學 | B+ |
19 | 10140 | 遼寧大學 | B+ |
20 | 10183 | 吉林大學 | B+ |
21 | 10284 | 南京大學 | B+ |
22 | 10286 | 東南大學 | B+ |
23 | 10335 | 浙江大學 | B+ |
24 | 10353 | 浙江工商大學 | B+ |
25 | 10456 | 山東財經大學 | B+ |
26 | 10486 | 武漢大學 | B+ |
27 | 10487 | 華中科技大學 | B+ |
28 | 10532 | 湖南大學 | B+ |
29 | 10558 | 中山大學 | B+ |
30 | 10559 | 暨南大學 | B+ |
31 | 11482 | 浙江財經大學 | B+ |
32 | 10007 | 北京理工大學 | B |
33 | 10011 | 北京工商大學 | B |
34 | 10125 | 山西財經大學 | B |
35 | 10141 | 大連理工大學 | B |
36 | 10247 | 同濟大學 | B |
37 | 10269 | 華東師范大學 | B |
38 | 10273 | 上海對外經貿大學 | B |
39 | 10280 | 上海大學 | B |
40 | 10327 | 南京財經大學 | B |
41 | 10357 | 安徽大學 | B |
42 | 10423 | 中國海洋大學 | B |
43 | 10497 | 武漢理工大學 | B |
44 | 10593 | 廣西大學 | B |
45 | 10611 | 重慶大學 | B |
46 | 10689 | 云南財經大學 | B |
47 | 10200 | 東北師范大學 | B- |
48 | 10240 | 哈爾濱商業大學 | B- |
49 | 10251 | 華東理工大學 | B- |
50 | 10285 | 蘇州大學 | B- |
51 | 10319 | 南京師范大學 | B- |
52 | 10337 | 浙江工業大學 | B- |
53 | 10378 | 安徽財經大學 | B- |
54 | 10385 | 華僑大學 | B- |
55 | 10475 | 河南大學 | B- |
56 | 10491 | 中國地質大學 | B- |
57 | 10534 | 湖南科技大學 | B- |
58 | 10610 | 四川大學 | B- |
59 | 10730 | 蘭州大學 | B- |
60 | 11799 | 重慶工商大學 | B- |
61 | 11846 | 廣東外語外貿大學 | B- |
62 | 90026 | 軍事經濟學院 | B- |
63 | 10027 | 北京師范大學 | C+ |
64 | 10207 | 吉林財經大學 | C+ |
65 | 10403 | 南昌大學 | C+ |
66 | 10427 | 濟南大學 | C+ |
67 | 10459 | 鄭州大學 | C+ |
68 | 10484 | 河南財經政法大學 | C+ |
69 | 10511 | 華中師范大學 | C+ |
70 | 10536 | 長沙理工大學 | C+ |
71 | 10574 | 華南師范大學 | C+ |
72 | 10592 | 廣東財經大學 | C+ |
73 | 10697 | 西北大學 | C+ |
74 | 10766 | 新疆財經大學 | C+ |
75 | 11560 | 西安財經學院 | C+ |
76 | 11646 | 寧波大學 | C+ |
77 | 11832 | 河北經貿大學 | C+ |
78 | 10008 | 北京科技大學 | C |
79 | 10075 | 河北大學 | C |
80 | 10126 | 內蒙古大學 | C |
81 | 10270 | 上海師范大學 | C |
82 | 10276 | 華東政法大學 | C |
83 | 10290 | 中國礦業大學 | C |
84 | 10295 | 江南大學 | C |
85 | 10299 | 江蘇大學 | C |
86 | 10320 | 江蘇師范大學 | C |
87 | 10338 | 浙江理工大學 | C |
88 | 10433 | 山東理工大學 | C |
89 | 10589 | 海南大學 | C |
90 | 10652 | 西南政法大學 | C |
91 | 10656 | 西南民族大學 | C |
92 | 10671 | 貴州財經大學 | C |
93 | 10673 | 云南大學 | C |
94 | 10741 | 蘭州財經大學 | C |
95 | 11287 | 南京審計大學 | C |
96 | 11414 | 中國石油大學 | C |
97 | 10052 | 中央民族大學 | C- |
98 | 10053 | 中國政法大學 | C- |
99 | 10058 | 天津工業大學 | C- |
100 | 10069 | 天津商業大學 | C- |
101 | 10139 | 內蒙古財經大學 | C- |
102 | 10360 | 安徽工業大學 | C- |
103 | 10602 | 廣西師范大學 | C- |
104 | 10657 | 貴州大學 | C- |
105 | 10681 | 云南師范大學 | C- |
106 | 10718 | 陜西師范大學 | C- |
107 | 10759 | 石河子大學 | C- |
108 | 11664 | 西安郵電大學 | C- |
數據來源:教育部學位與研究生教育發展中心
2007年國際貿易學專業學校排名
排名 | 學校名稱 | 等級 | 排名 | 學校名稱 | 等級 | 排名 | 學校名稱 | 等級 |
1 | 對外經濟貿易大學 | A+ | 8 | 復旦大學 | A | 15 | 中山大學 | A |
2 | 南開大學 | A+ | 9 | 中國人民大學 | A | 16 | 中央財經大學 | A |
3 | 浙江大學 | A+ | 10 | 上海財經大學 | A | 17 | 寧波大學 | A |
4 | 東北財經大學 | A+ | 11 | 中南財經政法大學 | A | 18 | 南京農業大學 | A |
5 | 湖南大學 | A+ | 12 | 南京大學 | A | 19 | 西南財經大學 | A |
6 | 廈門大學 | A | 13 | 遼寧大學 | A | 20 | 華中科技大學 | A |
7 | 武漢大學 | A | 14 | 西安交通大學 | A | |||
B+等(30個):浙江工業大學、暨南大學、上海大學、哈爾濱工業大學、吉林大學、山東大學、上海對外貿易學院、東南大學、北京工業大學、天津財經大學、北京師范大學、廣東商學院、上海交通大學、清華大學、廣東外語外貿大學、江西財經大學、湖北大學、江南大學、廣西大學、大連理工大學、黑龍江大學、長春稅務學院、上海海事大學、重慶大學、山西財經大學、安徽財經大學、江蘇大學、蘭州商學院、山東財政學院、中國農業大學 |
||||||||
B等(30個):浙江工商大學、深圳大學、中國海洋大學、北京理工大學、北京第二外國語學院、上海外國語大學、安徽大學、西北大學、貴州財經學院、沈陽工業大學、上海理工大學、山東經濟學院、東華大學、首都經濟貿易大學、天津工業大學、云南財經大學、中南大學、天津商業大學、華東師范大學、河北工業大學、大連海事大學、華南農業大學、長春工業大學、云南大學、北京航空航天大學、北京科技大學、華中農業大學、華東理工大學、南京理工大學、四川大學 |
||||||||
C等(21個):名單略 |
|
|
|
|
1 | 對外經濟貿易大學 | 5★ | 165 |
2 | 南開大學 | 5★ | 165 |
3 | 中國人民大學 | 5★ | 165 |
4 | 中央財經大學 | 5★ | 165 |
5 | 廈門大學 | 5★ | 165 |
6 | 天津財經大學 | 5★ | 165 |
7 | 東北財經大學 | 5★ | 165 |
8 | 中國農業大學 | 5★ | 165 |
9 | 浙江工業大學 | 5★ | 165 |
10 | 上海交通大學 | 4★ | 165 |
11 | 暨南大學 | 4★ | 165 |
12 | 中南財經政法大學 | 4★ | 165 |
13 | 清華大學 | 4★ | 165 |
14 | 武漢大學 | 4★ | 165 |
15 | 湖南大學 | 4★ | 165 |
16 | 東南大學 | 4★ | 165 |
17 | 華中科技大學 | 4★ | 165 |
18 | 西南財經大學 | 4★ | 165 |
19 | 浙江工商大學 | 4★ | 165 |
20 | 西安交通大學 | 4★ | 165 |
國際貿易學考研考什么
國際貿易學研究生考試科目:招生院系及代碼 | 二級學科名稱及代碼 | 考試科目 | 復試內容及辦法 |
010經濟學院 | 020206國際貿易學 |
①101政治 ②201英一 ③303數學三 ④801經濟學綜合(含西方經濟學、國際經濟學) |
1.英語聽力測試、口語面試2.就個人在經濟學方面的最具代表性的成果(如課程論文)或研究計劃進行陳述與答辯3.本專業綜合知識面試 |
2,三資企業中從事和參與企業貿易外事活動的實用型專業人員。