北京科技大學金融學考研
研究生為你答疑,送資源

因為北京科技大學金融學專業研究生數量有限,愿意做考研輔導的數量不確定,請加我們顧問的微信進行咨詢和確認,搶先預訂研究生,以免錯失研究生輔導機會。
北京科技大學是一個不錯的學校,深受考研人的追捧,本校每年會有數千名研究生招生的名額,研究生報考錄取比在3:1左右,難度中等,部分熱門的研究生專業研究生報考錄取比會更高一點,請各位準備報考北京科技大學金融學考研的同學注意: 北京科技大學金融學研究生錄取分數線(或稱考研分數線)的數據。因為每年都有不少人報考北京科技大學金融學考研,競爭激烈,所以強烈建議各位準備考北京科技大學金融學研究生的考研人準備一些基本的歷年考研真題、 研究生學姐學長的筆記、考研經驗等等(考研派有考研經驗頻道,也有考研派微信公眾號、考研派APP等產品平臺,里面有不少研究生會免費解答你的考研問題,助你考研一臂之力),另外考研派也會為大家北京科技大學金融學考研的參考書目、考研大綱、研究生招生咨詢電話等聯系方式。希望你考取北京科技大學 金融學專業研究生,考研是個孤獨的事情,需要耐得住寂寞,祝愿各位考研的學生好好復習備考,來年上個985/211,實現自己的名校研究生夢想。

2021北京科技大學金融學020204考研科目及參考書目
專業信息
- 所屬院校:北京科技大學
- 招生年份:2021年
- 招生類別:全日制研究生
- 所屬學院:經濟管理學院
- 所屬門類代碼、名稱:[02]經濟學
- 所屬一級學科代碼、名稱:[02]應用經濟學
專業招生詳情
研究方向: | 01 公司金融(全日制) 02 風險管理(全日制) 03 投資銀行(全日制) 04 量化投資(全日制) 05 金融產品設計(全日制) 06 信用管理(全日制) 07 銀行管理(全日制) |
|
招生人數: | 16 | |
考試科目: | ①101 思想政治理論 ②201 英語一 ③303 數學三 ④824 管理學與經濟學基礎 復試科目:559 金融學原理 |
|
備 注: | 本專業不招收同等學力考生 全日制擬招人數:16 推免生擬招人數:8 |
2021北京科技大學金融學020204考研科目及參考書目
專業信息
- 所屬院校:北京科技大學
- 招生年份:2021年
- 招生類別:全日制研究生
- 所屬學院:經濟管理學院
- 所屬門類代碼、名稱:[02]經濟學
- 所屬一級學科代碼、名稱:[02]應用經濟學
專業招生詳情
研究方向: | 01 公司金融(全日制) 02 風險管理(全日制) 03 投資銀行(全日制) 04 量化投資(全日制) 05 金融產品設計(全日制) 06 信用管理(全日制) 07 銀行管理(全日制) |
|
招生人數: | 16 | |
考試科目: | ①101 思想政治理論 ②201 英語一 ③303 數學三 ④824 管理學與經濟學基礎 復試科目:559 金融學原理 |
|
備 注: | 本專業不招收同等學力考生 全日制擬招人數:16 推免生擬招人數:8 |
北京科技大學金融學020204考研科目及參考書目
專業信息
- 所屬院校:北京科技大學
- 招生年份:2020年
- 招生類別:全日制研究生
- 所屬學院:東凌經濟管理學院
- 所屬門類代碼、名稱:[02]經濟學
- 所屬一級學科代碼、名稱:[02]應用經濟學
專業招生詳情
研究方向: | 01 公司金融(全日制) 02 風險管理(全日制) 03 投資銀行(全日制) 04 量化投資(全日制) 05 金融產品設計(全日制) 06 信用管理(全日制) 07 銀行管理(全日制) |
|
招生人數: | 16 | |
考試科目: | ①101 思想政治理論 ②201 英語一 ③303 數學三 ④824 管理學與經濟學基礎 |
|
備 注: | 復試科目:559 金融學原理 |
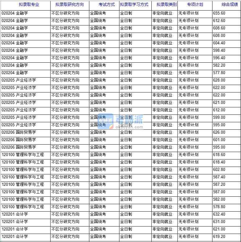
北京科技大學金融學2020年研究生錄取分數線

北京科技大學金融學考研專業分析
學校介紹北京科技大學于1952年由天津大學(原北洋大學)、清華大學等6所國內著名大學的礦冶系科組建而成,現已發展成為以工為主,工、理、管、文、經、法等多學科協調發展的教育部直屬全國重點大學,是全國首批正式成立研究生院的高等學校之一。1997年5月,學校首批進入國家“211工程”建設高校行列。2006年,學校成為首批“985工程”優勢學科創新平臺建設項目試點高校。2014年,學校牽頭的,以北京科技大學、東北大學為核心高校的“鋼鐵共性技術協同創新中心”成功入選國家“2011計劃”。2017年,學校入選國家“雙一流”建設高校。建校六十五年來,學校逐步形成了“學風嚴謹,崇尚實踐”的優良傳統,為社會培養各類人才20余萬人,大部分已成為國家政治、經濟、科技、教育等領域尤其是冶金、材料行業的棟梁和骨干。黨和國家領導人羅干、劉淇、徐匡迪、黃孟復、范長龍、郭聲琨、劉曉峰等都曾在校學習,另有38名校友當選為中國科學院或中國工程院院士,一大批校友走上了省長、市長的領導崗位,一大批校友擔任寶武集團、鞍鋼集團、中國鋁業、神華集團和新興際華等國家特大型企業的董事長或總經理。學校被譽為“鋼鐵搖籃”。
專業介紹
培養具備扎實寬廣的金融學理論基礎,掌握銀行、證券和保險等金融業務知識和技能,熟悉金融業的政策和法規,熟練運用計算機和外語從事相關業務,能在銀行、證券公司、投資公司、保險公司以及其他經濟管理部門和企業從事相關工作的高級專門人才。 金融工程專業:培養具備扎實寬廣的金融學和金融工程理論基礎,具有較高的外語、數學和計算機水平及應用能力,具有設計、實施各種金融工具和交易方案并進行投資風險管理的能力,能在證券與期貨公司、財務公司、各類投資與咨詢公司、基金管理公司、銀行和宏觀決策及監管部門從事相關工作的高級專門人才。 統計學專業:培養具備扎實寬廣的現代經濟學和統計學理論基礎,掌握經濟統計與調查技術與方法,具有較高的數學、計算機和外語水平及其應用能力。
考試科目
研究方向 | 初試科目 | 復試科目或內容 | 初試參考書目或教材 |
(06)信用管理 |
①101思想政治理論 ②201英語一 ③303數學三 ④824管理學與經濟 學基礎 |
金融學、公司財 務、外語 經濟學綜合含政治 經濟學、微觀經濟 學、宏觀經濟學 |
1、經濟學教程(參考書目:《經濟學教程》科學出版社何維達)2、管理學教程(參考書目:《管理學教程》北京大學出版社(第二版)戴淑芬等) |
參考書目
經濟學教程(參考書目:《經濟學教程》科學出版社何維達)2、管理學教程(參考書目:《管理學教程》北京大學出版社(第二版)戴淑芬等)。
學費
北京科技大學金融學專業考研研究生均需繳納學費。學術學位碩士研究生學制3年,學費標準為8000元/生.學年,每學年第一學期開學報到時繳納,按三學年繳納。
主要導師
王未卿:副教授在北京科技大學管理學院任教二十余年,主要從事金融、企業管理領域的教學與科研工作。金融工程系書記、系副主任,校AACSB認證本科項目主任。學術兼職:區域金融工程研究中心副主任,研究員全國區域金融學會理事;北京區域經濟學會理事中國金融學院金融專業經濟學學士學位;北京科技大學管理學碩士學位;北京科技大學企業管理博士學位?;陔S機波動的期權定價研究:教育部基本業務費基于實時財經分析視角的研究型教學:教育部基本業務費商業銀行客戶關系研究金融自由化下的保險業務研究;
證券投資選時系統。
劉澄:教授曾先后在遼寧省國稅局和中央黨校從事科研與教學工作;目前在北京科技大學管理學院金融工程系從事金融、世界經濟、稅收的教學與科研工作;在東北財經大學應用經濟學博士后流動站從事研究工作;現為中國生產力學會理事,獲經濟學博士學位。獲證監會頒發的證券投資咨詢人員執業資格,同年晉升為副教授;曾在山西財經大學金融學院任教,在山西信鼎證券公司做咨詢工作;調入北京科技大學,管理學院金融工程系副教授,從事金融類的教學與科研工作。畢業于東北財經大學投資管理學院在廈門大學經濟學院研究生班學習國際金融學證券投資學金融市場學 《美國金融的“全能化經營”之路及對中國經濟的啟示》獲國家經濟貿易委員會中國經濟技術發展優秀文集2等獎《國際金融教程》2005年獲北科大文科優秀教材2等獎。
潘永泉:基于遺傳神經網絡的貨幣危機預警系統;預測中國證券市場個股收益率生成模型的實證研究;北京科技大學學報一類分布參數系統模型辨識及其狀態觀測器設計,控制理論與應用;軋制單元數確定問題的研究,控制與決策;基于人工智能方法的企業資信評級;中國控制與決策學術會議論文集 ;企業信息管理,中央廣播電視大學出版社 ,
榮譽獎項獲國家教委科技進步一等獎一項。被評為北京市高等學校青年學科帶頭人。
獲 IET 基金會青年教師獎。
金融學考研院校
專業名稱:金融學 專業代碼:020204 門類/類別:經濟學 學科/類別:應用經濟學開設專業院校:
北京師范大學 北京第二外國語學院 中央財經大學 北京物資學院 北京大學 中國人民大學 北京交通大學 北京航空航天大學 北京工商大學 中國農業大學 北京林業大學 對外經濟貿易大學 中國石油大學(北京) 商務部國際貿易經濟合作研究院 中國政法大學 中國青年政治學院 中國科學院大學 中國社會科學院大學 中國人民銀行金融研究所 南開大學 天津商業大學 天津財經大學 天津大學 河北經貿大學 河北大學 山西財經大學 內蒙古工業大學 內蒙古財經大學 沈陽大學 東北財經大學 遼寧大學 大連理工大學 沈陽工業大學 東北大學 沈陽化工大學 吉林財經大學 東北師范大學 長春理工大學 吉林大學 哈爾濱商業大學 哈爾濱工業大學 哈爾濱工程大學 東北農業大學 上海社會科學院 上海海事大學 復旦大學 同濟大學 上海交通大學 上海理工大學 東華大學 華東師范大學 上海外國語大學 上海財經大學 華東政法大學 上海對外經貿大學 南京審計大學 蘇州大學 東南大學 南京航空航天大學 南京理工大學 南京財經大學 南京大學 南京農業大學 南京師范大學 浙江財經大學 寧波大學 浙江工商大學 浙江大學 安徽大學 安徽財經大學 安徽工業大學 中國科學技術大學 合肥工業大學 福州大學 廈門大學 江西財經大學 華東交通大學 山東財經大學 山東大學 中國海洋大學 山東農業大學 山東工商學院 河南財經政法大學 華北水利水電大學 鄭州大學 河南大學 武漢大學 華中科技大學 武漢理工大學 中南財經政法大學 湖北大學 中南大學 湘潭大學 長沙理工大學 湖南商學院 廣東工業大學 廣東財經大學 中山大學 暨南大學 華南理工大學 深圳大學 華南師范大學 廣西大學 海南大學 重慶理工大學 重慶工商大學 重慶大學 西南大學 中共四川省委黨校 西南民族大學 四川大學 電子科技大學 西南財經大學 西南交通大學 貴州財經大學 云南民族大學 云南財經大學 云南師范大學 云南大學 西北大學 西安交通大學 西安理工大學 西安工業大學 西北農林科技大學 陜西師范大學 延安大學 西安財經學院 蘭州大學 蘭州財經大學 新疆財經大學
專業解析:
以天津商業大學為例,金融學是研究經濟活動各領域貨幣與資本運動、資源配置和宏觀調控的理論與方法的學科,是兼具很強的理論性與實務性、微觀與宏觀、國別性與全球性特點的綜合性學科。它對各國和全球經濟運行與社會發展全局有著重大影響。本學科是在原貨幣銀行學、國際金融學、投資學和保險學基礎上調整形成的。隨著我國經濟金融體制改革的不斷深入和先進金融理論與方法的引入,大大豐富和擴展了我國金融新興學科研究的領域和內容,在各國經濟不斷發展和全球一體化背景下發展前景廣闊。
在本科金融專業下設有金融理論教研室和應用金融教研室,擁有一批從事金融理論研究和教學工作的師資,并且在相關學科,如會計學、企業管理設有碩士點,在經濟學、財政學、國際貿易等本科專業擁有雄厚的師資力量,從而為相關課程的開設和本學科的發展奠定了基礎。
現從事金融專業教學和研究的教師共有19人,其中正教授5人,副教授6人,具有博士學位3人,在讀博士2人,其余教師均具有碩士學位。其中有3位教師有從事金融工作的經歷,具有豐富的實踐經驗;有3位教師擔任過相關專業與金融有關的碩士研究生導師,具有較好的碩士生培養經驗。近年來,金融專業教師發表了百余篇科研論文。
培養目標:
本學科之旨在培養堅持四項基本原則,堅持改革開放,具有嚴謹求實的思想作風和較高的精神文明素養,德智體全面發展,努力為建設中國特色社會主義服務的高層次專門人才。
要求具有扎實的經濟學基礎理論,掌握現代金融學原理和較系統的金融專門知識;較為熟練地掌握一門外語并能閱讀本專業的外文資料;能夠理論聯系實際,具有金融經濟問題觀察分析能力、貨幣政策實施能力和從事金融具體工作能力;畢業后可承擔本學科的教學、科研具體工作和中高層次的金融管理實務工作。
研究方向:
金融專業碩士學位下設兩個研究方向:
1、 公司金融
2、 金融市場與金融管理
此專業大學排名:
0202 應用經濟學本一級學科中,全國具有“博士授權”的高校共 66 所,本次參評58 所;部分具有“碩士授權”的高校 也參加了評估;參評高校共計 155 所(注:評估結果相同的高校排序不分先后,按學校代碼排列)
序號 | 學校代碼 | 學校名稱 | 評選結果 |
1 | 10001 | 北京大學 | A+ |
2 | 10002 | 中國人民大學 | A+ |
3 | 10034 | 中央財經大學 | A+ |
4 | 10036 | 對外經濟貿易大學 | A |
5 | 10173 | 東北財經大學 | A |
6 | 10272 | 上海財經大學 | A |
7 | 10384 | 廈門大學 | A |
8 | 10003 | 清華大學 | A- |
9 | 10055 | 南開大學 | A- |
10 | 10246 | 復旦大學 | A- |
11 | 10421 | 江西財經大學 | A- |
12 | 10422 | 山東大學 | A- |
13 | 10520 | 中南財經政法大學 | A- |
14 | 10651 | 西南財經大學 | A- |
15 | 10698 | 西安交通大學 | A- |
16 | 10004 | 北京交通大學 | B+ |
17 | 10038 | 首都經濟貿易大學 | B+ |
18 | 10070 | 天津財經大學 | B+ |
19 | 10140 | 遼寧大學 | B+ |
20 | 10183 | 吉林大學 | B+ |
21 | 10284 | 南京大學 | B+ |
22 | 10286 | 東南大學 | B+ |
23 | 10335 | 浙江大學 | B+ |
24 | 10353 | 浙江工商大學 | B+ |
25 | 10456 | 山東財經大學 | B+ |
26 | 10486 | 武漢大學 | B+ |
27 | 10487 | 華中科技大學 | B+ |
28 | 10532 | 湖南大學 | B+ |
29 | 10558 | 中山大學 | B+ |
30 | 10559 | 暨南大學 | B+ |
31 | 11482 | 浙江財經大學 | B+ |
32 | 10007 | 北京理工大學 | B |
33 | 10011 | 北京工商大學 | B |
34 | 10125 | 山西財經大學 | B |
35 | 10141 | 大連理工大學 | B |
36 | 10247 | 同濟大學 | B |
37 | 10269 | 華東師范大學 | B |
38 | 10273 | 上海對外經貿大學 | B |
39 | 10280 | 上海大學 | B |
40 | 10327 | 南京財經大學 | B |
41 | 10357 | 安徽大學 | B |
42 | 10423 | 中國海洋大學 | B |
43 | 10497 | 武漢理工大學 | B |
44 | 10593 | 廣西大學 | B |
45 | 10611 | 重慶大學 | B |
46 | 10689 | 云南財經大學 | B |
47 | 10200 | 東北師范大學 | B- |
48 | 10240 | 哈爾濱商業大學 | B- |
49 | 10251 | 華東理工大學 | B- |
50 | 10285 | 蘇州大學 | B- |
51 | 10319 | 南京師范大學 | B- |
52 | 10337 | 浙江工業大學 | B- |
53 | 10378 | 安徽財經大學 | B- |
54 | 10385 | 華僑大學 | B- |
55 | 10475 | 河南大學 | B- |
56 | 10491 | 中國地質大學 | B- |
57 | 10534 | 湖南科技大學 | B- |
58 | 10610 | 四川大學 | B- |
59 | 10730 | 蘭州大學 | B- |
60 | 11799 | 重慶工商大學 | B- |
61 | 11846 | 廣東外語外貿大學 | B- |
62 | 90026 | 軍事經濟學院 | B- |
63 | 10027 | 北京師范大學 | C+ |
64 | 10207 | 吉林財經大學 | C+ |
65 | 10403 | 南昌大學 | C+ |
66 | 10427 | 濟南大學 | C+ |
67 | 10459 | 鄭州大學 | C+ |
68 | 10484 | 河南財經政法大學 | C+ |
69 | 10511 | 華中師范大學 | C+ |
70 | 10536 | 長沙理工大學 | C+ |
71 | 10574 | 華南師范大學 | C+ |
72 | 10592 | 廣東財經大學 | C+ |
73 | 10697 | 西北大學 | C+ |
74 | 10766 | 新疆財經大學 | C+ |
75 | 11560 | 西安財經學院 | C+ |
76 | 11646 | 寧波大學 | C+ |
77 | 11832 | 河北經貿大學 | C+ |
78 | 10008 | 北京科技大學 | C |
79 | 10075 | 河北大學 | C |
80 | 10126 | 內蒙古大學 | C |
81 | 10270 | 上海師范大學 | C |
82 | 10276 | 華東政法大學 | C |
83 | 10290 | 中國礦業大學 | C |
84 | 10295 | 江南大學 | C |
85 | 10299 | 江蘇大學 | C |
86 | 10320 | 江蘇師范大學 | C |
87 | 10338 | 浙江理工大學 | C |
88 | 10433 | 山東理工大學 | C |
89 | 10589 | 海南大學 | C |
90 | 10652 | 西南政法大學 | C |
91 | 10656 | 西南民族大學 | C |
92 | 10671 | 貴州財經大學 | C |
93 | 10673 | 云南大學 | C |
94 | 10741 | 蘭州財經大學 | C |
95 | 11287 | 南京審計大學 | C |
96 | 11414 | 中國石油大學 | C |
97 | 10052 | 中央民族大學 | C- |
98 | 10053 | 中國政法大學 | C- |
99 | 10058 | 天津工業大學 | C- |
100 | 10069 | 天津商業大學 | C- |
101 | 10139 | 內蒙古財經大學 | C- |
102 | 10360 | 安徽工業大學 | C- |
103 | 10602 | 廣西師范大學 | C- |
104 | 10657 | 貴州大學 | C- |
105 | 10681 | 云南師范大學 | C- |
106 | 10718 | 陜西師范大學 | C- |
107 | 10759 | 石河子大學 | C- |
108 | 11664 | 西安郵電大學 | C- |
金融學研究生院校排名
序號 | 學校代碼 | 學校名稱 | 評選結果 |
1 | 10001 | 北京大學 | A+ |
2 | 10002 | 中國人民大學 | A+ |
3 | 10034 | 中央財經大學 | A+ |
4 | 10036 | 對外經濟貿易大學 | A |
5 | 10173 | 東北財經大學 | A |
6 | 10272 | 上海財經大學 | A |
7 | 10384 | 廈門大學 | A |
8 | 10003 | 清華大學 | A- |
9 | 10055 | 南開大學 | A- |
10 | 10246 | 復旦大學 | A- |
11 | 10421 | 江西財經大學 | A- |
12 | 10422 | 山東大學 | A- |
13 | 10520 | 中南財經政法大學 | A- |
14 | 10651 | 西南財經大學 | A- |
15 | 10698 | 西安交通大學 | A- |
16 | 10004 | 北京交通大學 | B+ |
17 | 10038 | 首都經濟貿易大學 | B+ |
18 | 10070 | 天津財經大學 | B+ |
19 | 10140 | 遼寧大學 | B+ |
20 | 10183 | 吉林大學 | B+ |
21 | 10284 | 南京大學 | B+ |
22 | 10286 | 東南大學 | B+ |
23 | 10335 | 浙江大學 | B+ |
24 | 10353 | 浙江工商大學 | B+ |
25 | 10456 | 山東財經大學 | B+ |
26 | 10486 | 武漢大學 | B+ |
27 | 10487 | 華中科技大學 | B+ |
28 | 10532 | 湖南大學 | B+ |
29 | 10558 | 中山大學 | B+ |
30 | 10559 | 暨南大學 | B+ |
31 | 11482 | 浙江財經大學 | B+ |
32 | 10007 | 北京理工大學 | B |
33 | 10011 | 北京工商大學 | B |
34 | 10125 | 山西財經大學 | B |
35 | 10141 | 大連理工大學 | B |
36 | 10247 | 同濟大學 | B |
37 | 10269 | 華東師范大學 | B |
38 | 10273 | 上海對外經貿大學 | B |
39 | 10280 | 上海大學 | B |
40 | 10327 | 南京財經大學 | B |
41 | 10357 | 安徽大學 | B |
42 | 10423 | 中國海洋大學 | B |
43 | 10497 | 武漢理工大學 | B |
44 | 10593 | 廣西大學 | B |
45 | 10611 | 重慶大學 | B |
46 | 10689 | 云南財經大學 | B |
47 | 10200 | 東北師范大學 | B- |
48 | 10240 | 哈爾濱商業大學 | B- |
49 | 10251 | 華東理工大學 | B- |
50 | 10285 | 蘇州大學 | B- |
51 | 10319 | 南京師范大學 | B- |
52 | 10337 | 浙江工業大學 | B- |
53 | 10378 | 安徽財經大學 | B- |
54 | 10385 | 華僑大學 | B- |
55 | 10475 | 河南大學 | B- |
56 | 10491 | 中國地質大學 | B- |
57 | 10534 | 湖南科技大學 | B- |
58 | 10610 | 四川大學 | B- |
59 | 10730 | 蘭州大學 | B- |
60 | 11799 | 重慶工商大學 | B- |
61 | 11846 | 廣東外語外貿大學 | B- |
62 | 90026 | 軍事經濟學院 | B- |
63 | 10027 | 北京師范大學 | C+ |
64 | 10207 | 吉林財經大學 | C+ |
65 | 10403 | 南昌大學 | C+ |
66 | 10427 | 濟南大學 | C+ |
67 | 10459 | 鄭州大學 | C+ |
68 | 10484 | 河南財經政法大學 | C+ |
69 | 10511 | 華中師范大學 | C+ |
70 | 10536 | 長沙理工大學 | C+ |
71 | 10574 | 華南師范大學 | C+ |
72 | 10592 | 廣東財經大學 | C+ |
73 | 10697 | 西北大學 | C+ |
74 | 10766 | 新疆財經大學 | C+ |
75 | 11560 | 西安財經學院 | C+ |
76 | 11646 | 寧波大學 | C+ |
77 | 11832 | 河北經貿大學 | C+ |
78 | 10008 | 北京科技大學 | C |
79 | 10075 | 河北大學 | C |
80 | 10126 | 內蒙古大學 | C |
81 | 10270 | 上海師范大學 | C |
82 | 10276 | 華東政法大學 | C |
83 | 10290 | 中國礦業大學 | C |
84 | 10295 | 江南大學 | C |
85 | 10299 | 江蘇大學 | C |
86 | 10320 | 江蘇師范大學 | C |
87 | 10338 | 浙江理工大學 | C |
88 | 10433 | 山東理工大學 | C |
89 | 10589 | 海南大學 | C |
90 | 10652 | 西南政法大學 | C |
91 | 10656 | 西南民族大學 | C |
92 | 10671 | 貴州財經大學 | C |
93 | 10673 | 云南大學 | C |
94 | 10741 | 蘭州財經大學 | C |
95 | 11287 | 南京審計大學 | C |
96 | 11414 | 中國石油大學 | C |
97 | 10052 | 中央民族大學 | C- |
98 | 10053 | 中國政法大學 | C- |
99 | 10058 | 天津工業大學 | C- |
100 | 10069 | 天津商業大學 | C- |
101 | 10139 | 內蒙古財經大學 | C- |
102 | 10360 | 安徽工業大學 | C- |
103 | 10602 | 廣西師范大學 | C- |
104 | 10657 | 貴州大學 | C- |
105 | 10681 | 云南師范大學 | C- |
106 | 10718 | 陜西師范大學 | C- |
107 | 10759 | 石河子大學 | C- |
108 | 11664 | 西安郵電大學 | C- |
數據來源:教育部學位與研究生教育發展中心
2007年金融學專業學校排名
排名 | 學校名稱 | 等級 | 排名 | 學校名稱 | 等級 | 排名 | 學校名稱 | 等級 |
1 | 中國人民大學 | A+ | 8 | 中山大學 | A | 15 | 上海交通大學 | A |
2 | 北京大學 | A+ | 9 | 廈門大學 | A | 16 | 東北財經大學 | A |
3 | 西南財經大學 | A+ | 10 | 暨南大學 | A | 17 | 南京大學 | A |
4 | 南開大學 | A+ | 11 | 湖南大學 | A | 18 | 中南財經政法大學 | A |
5 | 復旦大學 | A+ | 12 | 對外經濟貿易大學 | A | 19 | 清華大學 | A |
6 | 上海財經大學 | A | 13 | 武漢大學 | A | 20 | 同濟大學 | A |
7 | 中央財經大學 | A | 14 | 西安交通大學 | A | |||
B+等(30個):華東師范大學、吉林大學、重慶大學、天津財經大學、遼寧大學、浙江大學、山東大學、哈爾濱工業大學、東華大學、蘇州大學、山西財經大學、天津大學、華中科技大學、四川大學、北京師范大學、北京航空航天大學、江西財經大學、上海大學、南京財經大學、中南大學、浙江工商大學、西南大學、安徽財經大學、新疆財經學院、廣東商學院、河南大學、上海對外貿易學院、廣西大學、電子科技大學、浙江財經大學 |
||||||||
B等(30個):寧波大學、大連理工大學、南京師范大學、福州大學、東南大學、南京農業大學、中國海洋大學、東北大學、華南理工大學、青島大學、深圳大學、山東經濟學院、山東財政學院、云南財經大學、貴州財經學院、蘭州商學院、鄭州大學、安徽大學、長沙理工大學、河海大學、西北大學、武漢理工大學、南京航空航天大學、蘭州大學、北京工商大學、西安電子科技大學、哈爾濱工程大學、西南交通大學、南京理工大學、河北大學 |
||||||||
C等(20個):名單略 |
|
|
|
|
1 | 中國人民大學 | 5★ | 181 |
2 | 西南財經大學 | 5★ | 181 |
3 | 中央財經大學 | 5★ | 181 |
4 | 南開大學 | 5★ | 181 |
5 | 廈門大學 | 5★ | 181 |
6 | 中南財經政法大學 | 5★ | 181 |
7 | 復旦大學 | 5★ | 181 |
8 | 對外經濟貿易大學 | 5★ | 181 |
9 | 上海財經大學 | 5★ | 181 |
10 | 武漢大學 | 4★ | 181 |
11 | 東北財經大學 | 4★ | 181 |
12 | 暨南大學 | 4★ | 181 |
13 | 北京大學 | 4★ | 181 |
14 | 天津財經大學 | 4★ | 181 |
15 | 吉林大學 | 4★ | 181 |
16 | 中山大學 | 4★ | 181 |
17 | 遼寧大學 | 4★ | 181 |
18 | 上海交通大學 | 4★ | 181 |
19 | 浙江工商大學 | 4★ | 181 |
20 | 西安交通大學 | 4★ |
181 |
金融學考研考什么
2022金融學專業考研群
微信搜索公眾號“考研派之家”,關注【考研派之家】微信公眾號,在考研派之家微信號輸入【北京科技大學考研分數線、北京科技大學報錄比、北京科技大學考研群、北京科技大學學姐、北京科技大學考研真題、北京科技大學專業目錄、北京科技大學排名、北京科技大學保研、北京科技大學公眾號、北京科技大學研究生招生)】即可在手機上查看相對應北京科技大學考研信息或資源。


北京科技大學金融學考研 推薦
- 北京科技大學金融學考研
- 北京科技大學金融學考研參考書目
- 北京科技大學金融學考研QQ群
- 北京科技大學金融學考研難嗎
- 北京科技大學金融學考研考試科目
- 北京科技大學金融學研究生分數線
- 北京科技大學金融學研究生一對一輔導
- 北京科技大學金融學研究生輔導
- 北京科技大學金融學考研輔導
- 北京科技大學金融學考研參考書目
- 北京科技大學東凌經濟管理學院金融學保研夏令營
- 北京科技大學東凌經濟管理學院金融學保研
- 北京科技大學東凌經濟管理學院金融學保研細則
- 北京科技大學東凌經濟管理學院金融學保研條件
- 北京科技大學東凌經濟管理學院保研夏令營
- 北京科技大學金融學考研論壇
- 北京科技大學金融學考研分數線
- 北京科技大學金融學考研真題
- 貴州財經大學金融學考研
- 華中師范大學金融學考研
- 華南農業大學金融學考研
- 青海大學金融學考研
- 云南大學金融學考研
- 中國石油大學(北京)金融學考研
- 南京大學金融學考研
- 暨南大學金融學考研
- 山東大學金融學考研
- 華東師范大學金融學考研
- 新疆財經大學金融學考研
- 西安工業大學金融學考研
- 華南師范大學金融學考研
- 南京審計大學金融學考研
- 山西財經大學金融學考研
- 西北大學金融學考研
- 吉林大學金融學考研
- 西南大學金融學考研
- 鄭州大學金融學考研
- 河南大學金融學考研
- 湖北大學金融學考研
- 武漢理工大學金融學考研
- 中國人民大學金融學考研
- 北京大學金融學考研
- 西安財經大學金融學考研
- 中央財經大學金融學考研
- 上海對外經貿大學金融學考研
- 華東政法大學金融學考研
- 沈陽工業大學金融學考研
- 長春理工大學金融學考研
- 內蒙古工業大學金融學考研
- 西北師范大學金融學考研
- 上海財經大學金融學考研
- 中國礦業大學金融學考研
- 江西財經大學金融學考研
- 南京理工大學金融學考研
- 廣東外語外貿大學金融學考研
- 對外經濟貿易大學金融學考研
- 西南財經大學金融學考研
- 陜西師范大學金融學考研
- 南京理工大學金融學考研
- 河南大學金融學考研
- 東北財經大學金融學考研
- 北京外國語大學金融學考研
- 云南師范大學金融學考研
- 安徽工業大學金融學考研
- 上海理工大學金融學考研
- 對外經濟貿易大學金融學考研
- 中原工學院金融學考研
- 云南財經大學金融學考研
- 河海大學金融學考研
- 河北地質大學金融學考研
- 北京航空航天大學金融學考研
- 北京交通大學金融學考研
- 同濟大學金融學考研
- 長春工業大學金融學考研
- 浙江工商大學金融學考研
- 杭州師范大學金融學考研
- 江西財經大學金融學考研
- 福建農林大學金融學考研
北京科技大學研究生學姐

加學姐,獲免費答疑,進考研群
北京科技大學考研網由北京科技大學研究生維護,發布最新的北京科技大學研究生招生信息,還提供北京科技大學研究生1對1輔導和考研真題等服務,有問題請加微信溝通。