南昌大學公共衛生與預防醫學考研
南昌大學微信
研究生為你答疑,送資源

研究生為你答疑,送資源

95%的同學還閱讀了:[南昌大學考研真題免費下載] [南昌大學歷年保研筆試/面試真題匯.pdf] [南昌大學預推免信息匯總表.xls] [南昌大學保研生源分析表.xls]
[南昌大學研究生招生]
[南昌大學研究生分數線[2013-2020]]
[南昌大學王牌專業排名]
[南昌大學考研難嗎]
[南昌大學研究生院]
[南昌大學考研群]
[南昌大學研究生學費]
[南昌大學研究生獎學金]
[南昌大學研究生輔導]
[南昌大學在職研究生招生簡章]
[考研國家線[2006-2020]]
[年考研時間:報名日期和考試時間]
因為南昌大學公共衛生與預防醫學專業研究生數量有限,愿意做考研輔導的數量不確定,請加我們顧問的微信進行咨詢和確認,搶先預訂研究生,以免錯失研究生輔導機會。
南昌大學是一個不錯的學校,深受考研人的追捧,本校每年會有數千名研究生招生的名額,研究生報考錄取比在3:1左右,難度中等,部分熱門的研究生專業研究生報考錄取比會更高一點,請各位準備報考南昌大學公共衛生與預防醫學考研的同學注意: 南昌大學公共衛生與預防醫學研究生錄取分數線(或稱考研分數線)的數據。因為每年都有不少人報考南昌大學公共衛生與預防醫學考研,競爭激烈,所以強烈建議各位準備考南昌大學公共衛生與預防醫學研究生的考研人準備一些基本的歷年考研真題、 研究生學姐學長的筆記、考研經驗等等(考研派有考研經驗頻道,也有考研派微信公眾號、考研派APP等產品平臺,里面有不少研究生會免費解答你的考研問題,助你考研一臂之力),另外考研派也會為大家南昌大學公共衛生與預防醫學考研的參考書目、考研大綱、研究生招生咨詢電話等聯系方式。希望你考取南昌大學 公共衛生與預防醫學專業研究生,考研是個孤獨的事情,需要耐得住寂寞,祝愿各位考研的學生好好復習備考,來年上個985/211,實現自己的名校研究生夢想。

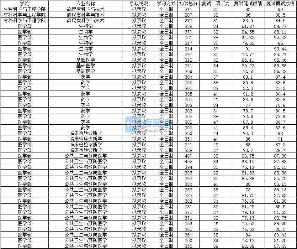
2020年南昌大學公共衛生與預防醫學研究生錄取分數線
南昌大學公共衛生與預防醫學考研的各位同學,2020年南昌大學公共衛生與預防醫學研究生錄取名單終于公布了,南昌大學公共衛生與預防醫學是一個不錯的專業,希望各位今年的考研分數線能過2020年南昌大學公共衛生與預防醫學研究生錄取分數線,下面是2020年南昌大學研究生院公布的2020年南昌大學公共衛生與預防醫學研究生錄取分數線和南昌大學公共衛生與預防醫學研究生擬錄取名單。
2020年南昌大學公共衛生與預防醫學研究生錄取分數線(或稱考研分數線)和南昌大學公共衛生與預防醫學的研究生錄取分數線是兩個不同的概念,前者是進入南昌大學公共衛生與預防醫學研究生復試的基本要求線,后者是2020年南昌大學公共衛生與預防醫學研究生錄取分數線,包含了初試復試的綜合成績。本文是2020年南昌大學公共衛生與預防醫學研究生錄取分數線,內容來自南昌大學研究生院相關網站,如有出入請以南昌大學官方網站公布的2020年南昌大學公共衛生與預防醫學研究生錄取分數線為準。
以下是2020年南昌大學的研究生錄取名單,成績從高到底,供準備報考該專業研究生的同學參考:

2021南昌大學公共衛生與預防醫學專業研究生考研參考書目
【初試書目】衛生綜合:職業衛生與職業醫學,鄔堂春主編,人民衛生出版社,第八版;營養與食品衛生學,孫長顥主編,人民衛生出版社,第八版;環境衛生學,楊克敵主編,人民衛生出版社,第八版;衛生統計學,方積乾主編,人民衛生出版社,第七版;流行病學,詹思延主編,人民衛生出版社,第八版。【復試書目】流行病學,詹思延主編,人民衛生出版社,第八版;衛生統計學,方積乾主編,人民衛生出版社,第七版;職業衛生與職業醫學,鄔堂春主編,人民衛生出版社,第八版;環境衛生學,楊克敵主編,人民衛生出版社,第八版;營養與食品衛生學,孫長顥主編,人民衛生出版社,第八版 。
2020年江南大學公共衛生與預防醫學研究生錄取分數線
江南大學公共衛生與預防醫學考研的各位同學,2020年江南大學公共衛生與預防醫學研究生錄取名單終于公布了,江南大學公共衛生與預防醫學是一個不錯的專業,希望各位今年的考研分數線能過2020年江南大學公共衛生與預防醫學研究生錄取分數線,下面是2020年江南大學研究生院公布的2020年江南大學公共衛生與預防醫學研究生錄取分數線和江南大學公共衛生與預防醫學研究生擬錄取名單。
2020年江南大學公共衛生與預防醫學研究生錄取分數線(或稱考研分數線)和江南大學公共衛生與預防醫學的研究生錄取分數線是兩個不同的概念,前者是進入江南大學公共衛生與預防醫學研究生復試的基本要求線,后者是2020年江南大學公共衛生與預防醫學研究生錄取分數線,包含了初試復試的綜合成績。本文是2020年江南大學公共衛生與預防醫學研究生錄取分數線,內容來自江南大學研究生院相關網站,如有出入請以江南大學官方網站公布的2020年江南大學公共衛生與預防醫學研究生錄取分數線為準。
以下是2020年江南大學的研究生錄取名單,成績從高到底,供準備報考該專業研究生的同學參考:

公共衛生與預防醫學考研院校
基本信息
專業名稱:公共衛生與預防醫學 專業代碼:100400 門類/類別:醫學 學科/類別:公共衛生與預防醫學
專業介紹
溫州醫科大學為例:溫州醫科大學公共衛生與預防醫學一級學科學位點依托浙江省一流學科 “公共衛生與預防醫學”學科平臺、衛生部放射生物學重點實驗室和“流域水環境與健康風險研究”省重點實驗室,主要圍繞非傳染病流行病學、電離輻射導致健康損傷機制、環境污染物的毒性效應和毒作用機制以及人群健康風險評估、營養與健康等方面開展科學研究。
本學科現擁有一支高水平、多學科、多層次人才組成的學術團隊,其中博士生導師7人,碩士生導師21人,擁有教育部新世紀優秀人才、浙江省“QR”人才、浙江省中青年學科帶頭人等優秀人才。學科成員先后主持國家重點研發計劃專項、國家環保部專項、國家自然科學基金重點項目等省部級以上科研課題100余項,獲得科研經費3000余萬元。近五年來以第一作者或通訊作者發表SCI論文200余篇,其中中科院分區2區以上文章占50%。獲省級科技進步二等獎4項、授權發明專利20余項。
學科方向一 流行病與衛生統計學
該學科方向依托浙江省“十二五”重點學科“流行病與衛生統計學”學科平臺,發揮流行病學與衛生統計學的方法學優勢,與臨床醫學、婦幼保健學、生物信息學等緊密結合,已形成了圍繞腫瘤、肥胖、兒童生長發育為主的臨床流行病學和分子流行病學研究優勢;同時在臨床數據挖掘、大數據分析和疾病預測模型研究方面形成了自己的特色。
該學科方向現有教授4人,副教授4人,講師4人。近年來主持包括國家自然科學基金在內的省部級科研項目12項,發表SCI論文50余篇。
研究領域:
主要圍繞腫瘤流行病學、巨大兒發生的分子流行病學/表觀遺傳流行病學研究、兒童生長發育的流行病學研究;臨床數據挖掘、大數據分析、疾病預測模型分析。
學科方向二 勞動衛生與環境衛生學
勞動衛生與環境衛生學是一門應用性較強、多學科交叉的綜合性學科,是公共衛生與預防醫學的一個重要分支學科。以研究勞動條件、自然環境和生活環境與人群健康的關系,揭示環境因素和職業性有害因素對人群健康影響的發生、發展規律;并研究利用有利環境因素、控制不利環境因素和職業性有害因素的對策,預防職業病和與環境有關的疾病,保障人群健康的一門科學。除與分析化學、核物理、分子生物學、生理學、生物化學、免疫學等醫學基礎學科,衛生毒理學、衛生統計、流行病學等預防醫學,以及多數臨床醫學學科密切相關外,還涉及到生態學、氣象學、心理學和人類工效學等學科。
該學科方向擁有高級職稱人員4名,中級職稱人員4名,博士及碩士研究生20余名。先后主持國家重點研發計劃、國家自然科學基金項目十余項,發表SCI論文60余篇。擁有教育部新世紀優秀人才及浙江省人才多人次,并在十余個國家級學會任常委、副主委等職。
溫州醫科大學公共衛生與管理學院勞動衛生與環境衛生學學科,依托有省部級重點實驗室和行業研究院,擁有本科-碩士-博士完整培養體系,在區域水流域環境因素與健康、環境輻射健康風險評估、職業輻射安全監測與應急防護、環境毒理學及職業苯毒性效應和機制等方面獨具特色。
學科方向三 營養與食品衛生學
本學科主要圍繞分子營養學、腸道菌群、脂類、人群營養等方向,利用細胞、動物模型、人群數據和樣本,充分融合分子生物學等基礎研究手段、組學技術和流行病學等研究方法,研究退行性病變和代謝性疾病的遺傳效應和致病機制,并積極探尋相關健康損害的生物標志物及有效的營養干預策略和措施。
該學科方向擁有高級職稱人員4名,中級職稱人員5名,博士7名。先后主持承擔了國家自然科學基金項目5項、浙江省自然科學基金和科技廳等省部級項目8項(含1項省杰出青年基金)、以及其它市廳級課題,總計20余項。發表SCI論文60余篇,其中中科院分區一二區28篇、第一和通訊(含共同)43篇。授權國家發明專利13件,其中第一發明人8件。出版了多部學術和科普專著,擁有浙江省高校中青年學科帶頭人、溫州市重點創新團隊帶頭人、溫州市551人才等高層次人才,并在各級專業學會擔任委員和副主委等職務。本專業科研平臺包括校級營養與疾病研究所、脂類醫學研究所等,開設有營養學研究進展、自由基醫學、科研方法和論文寫作等多門研究生課程,研究生多人次獲得國家獎學金、浙江省優秀畢業生等資助和稱號。
目前,本專業主要研究方向包括:1)神經退行性病變的遺傳和發病機制,包括微量元素和硒蛋白的功能以及植物化學物/營養素干預等;2)腸道菌群在老年癡呆等神經退行性疾病的作用和機制;3)單/多不飽和脂肪酸與心腦血管疾病的相關健康效應及分子機制;4)營養相關基因多態性與人群營養現狀等。
學科方向四 衛生毒理學
該學科方向依托“浙江省模式生物重點實驗室”,在傳統哺乳動物和細胞模型的基礎上,結合模式生物斑馬魚與秀麗隱桿線蟲及其基因修飾品系,針對有機污染物、金屬等對生態安全與人群健康進行危害鑒定,并探究其可能的干預靶點,形成了分子毒理、肝臟毒理、生殖毒理以及神經毒理為特色的研究方向。
該學科方向現有教授4人,副教授3人,講師4人。近年來主持包括科技部重大專項子項目、國家自然科學基金及省杰青等省部級以上科研項目22項,發表SCI論文80余篇,毒理學論文對我校藥理學與毒理學學科進入ESI前1%的貢獻度達到三分之一以上。獲得浙江省科技進步二等獎1項,授權發明專利6項。
研究領域:主要圍繞環境污染物POPs、有機溶劑、農藥、金屬等的毒作用及機制開展分子毒理學、肝臟毒理學、生殖毒理學、與神經毒理學等研究。
學科方向五 衛生檢驗與檢疫
主要培養具有預防醫學、環境與衛生理化檢驗及微生物學檢驗等方向的高級專業性科研人才。本方向依托溫州醫科大學浙江省流域水環境與健康風險重點實驗室、浙江省公共衛生優勢學科和浙南水科學研究院等公共平臺,培養面向各級疾控中心、衛生檢驗中心、環境與食品監測機構、檢驗與檢疫機構、醫院檢驗科及化妝品行業等,從事科研及技術開發等方面的高級專業人才。
該方向目前已擁有科研人員15人,包括教授4人,博士12人,專職實驗員3人。已承擔國家級項目10余項,省市級項目30余項,獲批專利20余項。團隊成員科研視野開闊,近年來成果豐碩。
目前,具體研究方向有:1)環境、食品及體樣復雜介質中,有機物和重金屬污染的痕量分析前處理技術開發,包括各種微萃取技術、功能性離子液體和納米材料微萃取技術及智能化溶劑開發等;2)各種熒光納米材料開發及其“開-關”型熒光傳感技術在體樣復雜基質中的分析應用;3)基于特異性適配體開發的微生物電化學傳感技術及其在體樣大分子蛋白質、糖和脂肪及單細胞檢測中的應用;4)污染物與微生物的互作效應及其控制研究:包括微生物介導污染物轉化機制、污染物環境毒性效應及微生物強化修復等理論和技術研究。
學科方向六 社會醫學與衛生事業管理
本方向依托于溫州醫科大學公共管理專業,公共管理專業為浙江省特色專業。 擁有省財政項目資助的文科綜合實驗中心、溫州市重點實驗室,出版了5本系列實驗教材。目前已經建立了包括國家衛生健康委員會、浙江省衛生健康委員會、浙江省30多所三級醫院、世界500強醫藥企業等在內的80多個實習基地。
本研究方向現有高級職稱人員10人,博士7人。近年來主持國家社會科學基金6項,其中國家社會科學基金重點項目1項;國家自然科學基金2項。主持省部級課題20余項,其中教育部人文社會科學項目2項、省哲社9項、省自然6項。在SCI與SSCI刊物發表論文10余篇,在《管理世界》、《新聞與傳播研究》、《新華文摘》等權威刊物發表論文10余篇,在一級期刊發表論文近20篇,在CSSCI期刊發表論文20余篇。
本方向研究內容:主要運用公共政策分析方法、運籌學方法、決策理論與方法、評估理論與方法、預測理論與方法、管理心理與行為、數量經濟理論與方法、風險管理技術與方法等,結合國家需要與我國醫療衛生管理實踐、管理哲學與文化特點,對醫療衛生改革與治理進行研究,力圖揭示社會、文化、經濟、政策等因素對醫療衛生改革與治理的影響機理與規律,為制定宏觀政策和實施綜合管理提供可行性建議。目前已形成醫療服務行為優化、醫療服務質量管理、區域衛生資源配置、公共衛生安全與應急管理、健康傳播與健康教育、衛生政策與醫院經營、藥事管理、衛生費用預測與控制、健康風險測量與預防等較為穩定的研究方向。
專業點分布
解放軍醫學院 武警后勤學院 華北理工大學 溫州醫科大學 皖南醫學院 武漢科技大學 中山大學 廣東藥科大學
專業學院排名
1004 公共衛生與預防醫學
本一級學科中,全國具有“博士授權”的高校共 34 所,本次參評32 所;部分具有“碩士授權”的高校 也參加了評估;參評高校共計 54 所(注:評估結果相同的高校排序不分先后,按學校代碼排列)。
序號 | 學校代碼 | 學校名稱 | 評選結果 |
1 | 10312 | 南京醫科大學 | A+ |
2 | 10487 | 華中科技大學 | A+ |
3 | 10001 | 北京大學 | A- |
4 | 10226 | 哈爾濱醫科大學 | A- |
5 | 10246 | 復旦大學 | A- |
6 | 10025 | 首都醫科大學 | B+ |
7 | 10558 | 中山大學 | B+ |
8 | 12121 | 南方醫科大學 | B+ |
9 | 90030 | 第二軍醫大學 | B+ |
10 | 90032 | 第四軍醫大學 | B+ |
11 | 10023 | 北京協和醫學院 | B |
12 | 10159 | 中國醫科大學 | B |
13 | 10335 | 浙江大學 | B |
14 | 10366 | 安徽醫科大學 | B |
15 | 10422 | 山東大學 | B |
16 | 10610 | 四川大學 | B |
17 | 10062 | 天津醫科大學 | B- |
18 | 10183 | 吉林大學 | B- |
19 | 10248 | 上海交通大學 | B- |
20 | 10384 | 廈門大學 | B- |
21 | 10533 | 中南大學 | B- |
22 | 10114 | 山西醫科大學 | C+ |
23 | 10285 | 蘇州大學 | C+ |
24 | 10459 | 鄭州大學 | C+ |
25 | 10486 | 武漢大學 | C+ |
26 | 10598 | 廣西醫科大學 | C+ |
27 | 10698 | 西安交通大學 | C+ |
28 | 10081 | 華北理工大學 | C |
29 | 10631 | 重慶醫科大學 | C |
30 | 10660 | 貴州醫科大學 | C |
31 | 10678 | 昆明醫科大學 | C |
32 | 10760 | 新疆醫科大學 | C |
33 | 10089 | 河北醫科大學 | C- |
34 | 10247 | 同濟大學 | C- |
35 | 10488 | 武漢科技大學 | C- |
36 | 10570 | 廣州醫科大學 | C- |
37 | 11065 | 青島大學 | C- |
公共衛生與預防醫學考研院校
基本信息
專業名稱:公共衛生與預防醫學 專業代碼:077900 門類/類別:理學 學科/類別:公共衛生與預防醫學
專業點分布
北京市勞動保護科學研究所
專業院校排名
本一級學科中,全國具有“博士授權”的高校共 34 所,本次參評32 所;部分具有“碩士授權”的高校 也參加了評估;參評高校共計 54 所(注:評估結果相同的高校排序不分先后,按學校代碼排列)。
序號 | 學校代碼 | 學校名稱 | 評選結果 |
1 | 10312 | 南京醫科大學 | A+ |
2 | 10487 | 華中科技大學 | A+ |
3 | 10001 | 北京大學 | A- |
4 | 10226 | 哈爾濱醫科大學 | A- |
5 | 10246 | 復旦大學 | A- |
6 | 10025 | 首都醫科大學 | B+ |
7 | 10558 | 中山大學 | B+ |
8 | 12121 | 南方醫科大學 | B+ |
9 | 90030 | 第二軍醫大學 | B+ |
10 | 90032 | 第四軍醫大學 | B+ |
11 | 10023 | 北京協和醫學院 | B |
12 | 10159 | 中國醫科大學 | B |
13 | 10335 | 浙江大學 | B |
14 | 10366 | 安徽醫科大學 | B |
15 | 10422 | 山東大學 | B |
16 | 10610 | 四川大學 | B |
17 | 10062 | 天津醫科大學 | B- |
18 | 10183 | 吉林大學 | B- |
19 | 10248 | 上海交通大學 | B- |
20 | 10384 | 廈門大學 | B- |
21 | 10533 | 中南大學 | B- |
22 | 10114 | 山西醫科大學 | C+ |
23 | 10285 | 蘇州大學 | C+ |
24 | 10459 | 鄭州大學 | C+ |
25 | 10486 | 武漢大學 | C+ |
26 | 10598 | 廣西醫科大學 | C+ |
27 | 10698 | 西安交通大學 | C+ |
28 | 10081 | 華北理工大學 | C |
29 | 10631 | 重慶醫科大學 | C |
30 | 10660 | 貴州醫科大學 | C |
31 | 10678 | 昆明醫科大學 | C |
32 | 10760 | 新疆醫科大學 | C |
33 | 10089 | 河北醫科大學 | C- |
34 | 10247 | 同濟大學 | C- |
35 | 10488 | 武漢科技大學 | C- |
36 | 10570 | 廣州醫科大學 | C- |
37 | 11065 | 青島大學 | C- |
公共衛生與預防醫學考研考什么
公共衛生與預防醫學專業考研科目:
01 流行病與衛生統計學
02 勞動衛生與環境衛生學
03 營養與食品衛生學
04 兒少衛生與婦幼保健學
05 衛生毒理學
71 勞動衛生與環境衛生學(單考)
方向01
(1)101 思想政治理論
(2)201 英語一
(3)681 數學分析與高等代數或306 西醫綜合或353 衛生綜合
復試專業課:
方向01:
流行病學或 衛生統計學或 概率論與數理統計:
方向02:
S5105011 勞動與環境衛生學:
①01方向考生考《環境衛生學》第7版,楊克敵主編,人民衛生出版社
②02方向考生考《職業衛生與職業醫學》第7版,孫貴范主編,人民衛生出版社
方向03:
S5105004 營養與食品衛生學:
《營養與食品衛生學》(衛生部規劃教材,第7版),孫長顥主編,人民衛生出版社
方向04:
S5105005 兒童少年衛生學:
考試的主要內容包括兒童少年身心發展規律、特點和影響因素,常見病和慢性病防治,心理衛生、學校環境建設和衛生監督、健康教育與健康促進、傷害防治和學校突發公共衛生事件應急處置等。
方向05:
S5105006 衛生毒理學:
①《毒理學基礎》第6版,王心如主編,人民衛生出版社;
②《毒理學實驗方法與技術》配套教材,第3版,王心如主編,人民衛生出版社
方向71:
F51012 勞動衛生與環境衛生學(包括食品安全):
①01方向考生考《環境衛生學》第7版,楊克敵主編,人民衛生出版社
②02方向考生考《職業衛生與職業醫學》第7版,孫貴范主編,人民衛生出版社
③03方向考生考《營養與食品衛生學》(衛生部規劃教材,第7版),孫長顥主編,人民衛生出版社 。
備注:
方向71面向合作單位計劃招收定向就業單考生10人。
方向02、03、04、05
(1)101 思想政治理論
(2)201 英語一
(3)306 西醫綜合或353 衛生綜合
方向71
(1)111 單獨考試思想政治理論
(2)240 英語(單考)
(3)690 環境與職業衛生綜合(包含食品安全)
公共衛生與預防醫學考研參考書:
中山大學公共衛生學院公共衛生與預防醫學專業
681數學分析與高等代數:
①《數學分析簡明教程》(上、下冊)(第2版),鄧東皋等編,高等教育出版社,2010;
②《數學分析》(上、下冊)(第4版),華東師范大學編,高等教育出版社,2010;
③《高等代數與解釋幾何》,孟道驥編,科學出版社,2007;
④《高等代數》(第3版),北京大學編,高等教育出版社,2003。《線性代數》(第3版) 同濟大學編,同濟大學出版社; 2010
353衛生綜合:
(包含流行病、衛生統計學、勞動衛生與環境衛生學、營養與食品衛生學的內容)。
參考書為①《流行病學》(第7版),詹思延主編,人民衛生出版社,2012(包括1-12,14,18,19章的內容)。
②《衛生統計學》(第7版),方積乾主編,人民衛生出版社,2012年(第1-16章)
③《職業衛生與職業醫學》第7版,孫貴范主編(包括第1、2、3章的內容)。
④《環境衛生學》(第7版),楊克敵主編,人民衛生出版社(包括第1、2章)。
⑤《營養與食品衛生學》(衛生部規劃教材,第7版),孫長顥主編,人民衛生出版社 (包括第1、4、5、8、9、11、12章)
690環境與職業衛生綜合(包含食品安全):
《職業衛生與職業醫學》第7版,孫貴范主編(包括第1、2、3章的內容);
《環境衛生學》(第7版),楊克敵主編,人民衛生出版社(包括第1、2章);
《營養與食品衛生學》(衛生部規劃教材,第7版),孫長顥主編,人民衛生出版社 (包括第1、4、5、8、9、11、12章)
公共衛生與預防醫學專業研究生就業:
就業前景:
公共衛生與預防醫學的就業前景,相比來說,可能要比基礎醫學和臨床醫學的就業面廣一些。而且就業后接觸的行業領域要較基礎醫學和臨床醫學豐富一些。
就業去向:
1、一些大型綜合醫院的預防保健科,病案統計科,信息統計科。
2、可以到醫療衛生行業的出版社,雜志社,從事醫學出版物的編輯工作。
3、可以到高校,從事助教工作。
4、可以到一些與公共衛生相關的科研單位,事業單位工作,像CDC,監督所,一些科研單位。
5、同時,也可以考國家公務員,地方級的公務員等等,而且要考國家公務員的話,基本上都要求碩士為起點。衛生部和人口計生委,藥監局,是作為醫學生考國家公務員三個主要選擇。
6、可以到一些醫療教育,培訓等單位,公司。
7、可以到醫療保險公司。
8、有一些醫院有專門的流行病室,如果是學流行病方向專業的。
2021公共衛生與預防醫學專業考研群
南昌大學公共衛生與預防醫學考研 推薦
- 南昌大學公共衛生與預防醫學考研
- 南昌大學公共衛生與預防醫學考研參考書目
- 南昌大學公共衛生與預防醫學考研QQ群
- 南昌大學公共衛生與預防醫學考研難嗎
- 南昌大學公共衛生與預防醫學考研考試科目
- 南昌大學公共衛生與預防醫學研究生分數線
- 南昌大學公共衛生與預防醫學研究生一對一輔導
- 南昌大學公共衛生與預防醫學研究生輔導
- 南昌大學公共衛生與預防醫學考研輔導
- 溫州醫科大學公共衛生與預防醫學考研
- 中山大學公共衛生與預防醫學考研
- 中南大學公共衛生與預防醫學考研
- 湖南農業大學公共衛生與預防醫學考研
- 南通大學公共衛生與預防醫學考研
- 南華大學公共衛生與預防醫學考研
- 同濟大學公共衛生與預防醫學考研
- 廣東藥科大學公共衛生與預防醫學考研
- 內蒙古科技大學公共衛生與預防醫學考研
- 華北理工大學公共衛生與預防醫學考研
- 武漢科技大學公共衛生與預防醫學考研
- 南華大學公共衛生與預防醫學考研
- 南昌大學公共衛生與預防醫學考研
- 新鄉醫學院公共衛生與預防醫學考研
- 河北大學公共衛生與預防醫學考研
- 皖南醫學院公共衛生與預防醫學考研
- 河北醫科大學公共衛生與預防醫學考研
- 南華大學公共衛生與預防醫學考研
關于我們
以下資料由南昌大學公共衛生與預防醫學研究生團隊整理提供,其團隊成員覆蓋各個院系,專門搜集本校的考研真題和高分筆記、題庫等資料。
專業課資料作為考研核心資料,部分專業重題概率極高,必須吃透,反復復習。如有需要高分研究生學長一對一輔導的,也可聯系我們安排。
考研派網站,為大家提供安全的交易平臺,資料有任何問題,均可向我們投訴,我們會督促考研派研究生團隊解決問題,保障同學們的權益。
最新購買
手機商城
掃描二維碼,更便捷的購買資料


不僅有商品,還有更多資訊和活動