南昌大學社會保障考研
南昌大學微信
研究生為你答疑,送資源

研究生為你答疑,送資源

95%的同學還閱讀了:[南昌大學考研真題免費下載] [南昌大學歷年保研筆試/面試真題匯.pdf] [南昌大學預推免信息匯總表.xls] [南昌大學保研生源分析表.xls]
[南昌大學研究生招生]
[南昌大學研究生分數線[2013-2020]]
[南昌大學王牌專業排名]
[南昌大學考研難嗎]
[南昌大學研究生院]
[南昌大學考研群]
[南昌大學研究生學費]
[南昌大學研究生獎學金]
[南昌大學研究生輔導]
[南昌大學在職研究生招生簡章]
[考研國家線[2006-2020]]
[年考研時間:報名日期和考試時間]
因為南昌大學社會保障專業研究生數量有限,愿意做考研輔導的數量不確定,請加我們顧問的微信進行咨詢和確認,搶先預訂研究生,以免錯失研究生輔導機會。
南昌大學是一個不錯的學校,深受考研人的追捧,本校每年會有數千名研究生招生的名額,研究生報考錄取比在3:1左右,難度中等,部分熱門的研究生專業研究生報考錄取比會更高一點,請各位準備報考南昌大學社會保障考研的同學注意: 南昌大學社會保障研究生錄取分數線(或稱考研分數線)的數據。因為每年都有不少人報考南昌大學社會保障考研,競爭激烈,所以強烈建議各位準備考南昌大學社會保障研究生的考研人準備一些基本的歷年考研真題、 研究生學姐學長的筆記、考研經驗等等(考研派有考研經驗頻道,也有考研派微信公眾號、考研派APP等產品平臺,里面有不少研究生會免費解答你的考研問題,助你考研一臂之力),另外考研派也會為大家南昌大學社會保障考研的參考書目、考研大綱、研究生招生咨詢電話等聯系方式。希望你考取南昌大學 社會保障專業研究生,考研是個孤獨的事情,需要耐得住寂寞,祝愿各位考研的學生好好復習備考,來年上個985/211,實現自己的名校研究生夢想。

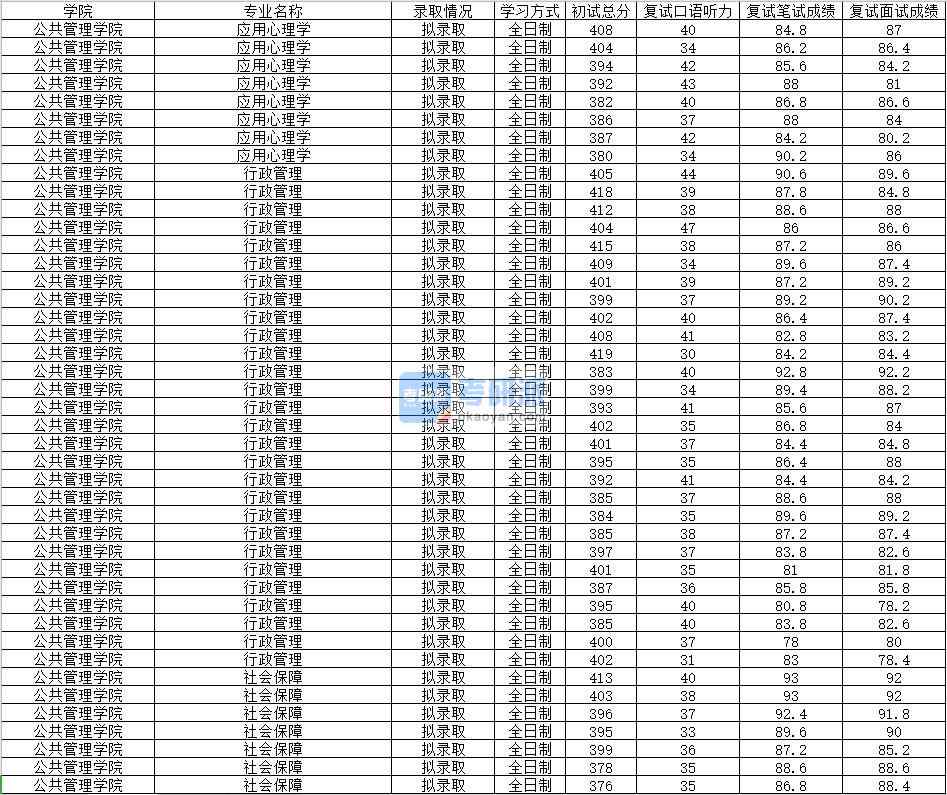
2020年南昌大學社會保障研究生錄取分數線
南昌大學社會保障考研的各位同學,2020年南昌大學社會保障研究生錄取名單終于公布了,南昌大學社會保障是一個不錯的專業,希望各位今年的考研分數線能過2020年南昌大學社會保障研究生錄取分數線,下面是2020年南昌大學研究生院公布的2020年南昌大學社會保障研究生錄取分數線和南昌大學社會保障研究生擬錄取名單。
2020年南昌大學社會保障研究生錄取分數線(或稱考研分數線)和南昌大學社會保障的研究生錄取分數線是兩個不同的概念,前者是進入南昌大學社會保障研究生復試的基本要求線,后者是2020年南昌大學社會保障研究生錄取分數線,包含了初試復試的綜合成績。本文是2020年南昌大學社會保障研究生錄取分數線,內容來自南昌大學研究生院相關網站,如有出入請以南昌大學官方網站公布的2020年南昌大學社會保障研究生錄取分數線為準。
以下是2020年南昌大學的研究生錄取名單,成績從高到底,供準備報考該專業研究生的同學參考:

南昌大學社會保障120404考研科目及參考書目
社會保障 [120404] 學術學位
專業信息
- 所屬院校:南昌大學
- 招生年份:2020年
- 招生類別:全日制研究生
- 所屬學院:公共管理學院
- 所屬門類代碼、名稱:[12]管理學
- 所屬一級學科代碼、名稱:[04]公共管理
專業招生詳情
研究方向: | 01(全日制)社會保險 02(全日制)社會福利 03(全日制)社會救濟 |
|
招生人數: | ||
考試科目: | 【初試科目】 ①101思想政治理論 ②201英語一 ③621行政學 ④820管理學 【復試科目】 專業課筆試 社會保障 |
|
備 注: | 不招同等學力考生 |
2021南昌大學社會保障專業研究生考研參考書目
【初試書目】公共行政學,張康之、李傳軍編著,北京大學出版社,2007年版;公共管理導論(第四版),歐文﹒E﹒休斯著,中國人民大學出版社,2015年版;管理學--現代的觀點(第三版),芮明杰主編,上海人民出版社,2013年;管理哲學導論(第二版),彭新武等著,中國人民大學出版社,2014年版。【復試書目】社會保障概論(第五版),孫光德、董克用著,中國人民大學出版社 2016年版;社會保險(第二版),鄧大松著,中國勞動社會保障出版社,2009年版。
社會保障考研院校
基本信息
專業名稱:社會保障 專業代碼:120404 門類/類別:管理學 學科/類別:公共管理
專業介紹
中共湖南省委黨校
專業點分布
北京師范大學 中央財經大學 北京大學 中國人民大學 北京交通大學 北京航空航天大學 中國農業大學 中國政法大學 中國社會科學院大學 南開大學 天津財經大學 天津大學 河北經貿大學 河北大學 山西財經大學 內蒙古工業大學 內蒙古財經大學 東北財經大學 沈陽師范大學 遼寧大學 大連理工大學 東北大學 東北師范大學 長春工業大學 吉林大學 哈爾濱商業大學 黑龍江大學 復旦大學 同濟大學 上海交通大學 華東師范大學 華東理工大學 上海財經大學 華東政法大學 上海工程技術大學 蘇州大學 東南大學 南京大學 南京師范大學 浙江財經大學 浙江大學 杭州師范大學 安徽財經大學 安徽師范大學 福建師范大學 廈門大學 江西財經大學 山東財經大學 山東大學 中國海洋大學 鄭州大學 河南大學 武漢大學 華中科技大學 武漢科技大學 武漢工程大學 華中農業大學 中南財經政法大學 華中師范大學 中共湖南省委黨校 湖南農業大學 湘潭大學 湖南師范大學 暨南大學 廣西師范大學 重慶大學 西南民族大學 四川大學 西南財經大學 西南交通大學 貴州財經大學 貴州大學 云南財經大學 云南大學 西北大學 西安交通大學 陜西師范大學 青海民族大學
專業大學排名
1204 公共管理
本一級學科中,全國具有“博士授權”的高校共 43 所,本次參評37 所;部分具有“碩士授權”的高校 也參加了評估;參評高校共計 143 所(注:評估結果相同的高校排序不分先后,按學校代碼排列)
序號 | 學校代碼 | 學校名稱 | 評選結果 |
1 | 10002 | 中國人民大學 | A+ |
2 | 10003 | 清華大學 | A+ |
3 | 10001 | 北京大學 | A |
4 | 10307 | 南京農業大學 | A |
5 | 10335 | 浙江大學 | A |
6 | 10486 | 武漢大學 | A |
7 | 10558 | 中山大學 | A |
8 | 10006 | 北京航空航天大學 | A- |
9 | 10027 | 北京師范大學 | A- |
10 | 10246 | 復旦大學 | A- |
11 | 10248 | 上海交通大學 | A- |
12 | 10487 | 華中科技大學 | A- |
13 | 10610 | 四川大學 | A- |
14 | 10698 | 西安交通大學 | A- |
15 | 10019 | 中國農業大學 | B+ |
16 | 10055 | 南開大學 | B+ |
17 | 10056 | 天津大學 | B+ |
18 | 10145 | 東北大學 | B+ |
19 | 10183 | 吉林大學 | B+ |
20 | 10247 | 同濟大學 | B+ |
21 | 10269 | 華東師范大學 | B+ |
22 | 10284 | 南京大學 | B+ |
23 | 10384 | 廈門大學 | B+ |
24 | 10459 | 鄭州大學 | B+ |
25 | 10491 | 中國地質大學 | B+ |
26 | 10504 | 華中農業大學 | B+ |
27 | 10520 | 中南財經政法大學 | B+ |
28 | 10730 | 蘭州大學 | B+ |
29 | 10034 | 中央財經大學 | B |
30 | 10036 | 對外經濟貿易大學 | B |
31 | 10141 | 大連理工大學 | B |
32 | 10173 | 東北財經大學 | B |
33 | 10213 | 哈爾濱工業大學 | B |
34 | 10226 | 哈爾濱醫科大學 | B |
35 | 10272 | 上海財經大學 | B |
36 | 10290 | 中國礦業大學 | B |
37 | 10358 | 中國科學技術大學 | B |
38 | 10422 | 山東大學 | B |
39 | 10511 | 華中師范大學 | B |
40 | 10530 | 湘潭大學 | B |
41 | 10533 | 中南大學 | B |
42 | 10614 | 電子科技大學 | B |
43 | 90030 | 第二軍醫大學 | B |
44 | 10052 | 中央民族大學 | B- |
45 | 10140 | 遼寧大學 | B- |
46 | 10286 | 東南大學 | B- |
47 | 10294 | 河海大學 | B- |
48 | 10346 | 杭州師范大學 | B- |
49 | 10403 | 南昌大學 | B- |
50 | 10421 | 江西財經大學 | B- |
51 | 10456 | 山東財經大學 | B- |
52 | 10532 | 湖南大學 | B- |
53 | 10561 | 華南理工大學 | B- |
54 | 10593 | 廣西大學 | B- |
55 | 10611 | 重慶大學 | B- |
56 | 10651 | 西南財經大學 | B- |
57 | 11482 | 浙江財經大學 | B- |
58 | 10008 | 北京科技大學 | C+ |
59 | 10013 | 北京郵電大學 | C+ |
60 | 10038 | 首都經濟貿易大學 | C+ |
61 | 10212 | 黑龍江大學 | C+ |
62 | 10251 | 華東理工大學 | C+ |
63 | 10353 | 浙江工商大學 | C+ |
64 | 10389 | 福建農林大學 | C+ |
65 | 10423 | 中國海洋大學 | C+ |
66 | 10460 | 河南理工大學 | C+ |
67 | 10488 | 武漢科技大學 | C+ |
68 | 10537 | 湖南農業大學 | C+ |
69 | 10559 | 暨南大學 | C+ |
70 | 10613 | 西南交通大學 | C+ |
71 | 10673 | 云南大學 | C+ |
72 | 10007 | 北京理工大學 | C |
73 | 10070 | 天津財經大學 | C |
74 | 10075 | 河北大學 | C |
75 | 10079 | 華北電力大學 | C |
76 | 10166 | 沈陽師范大學 | C |
77 | 10217 | 哈爾濱工程大學 | C |
78 | 10252 | 上海理工大學 | C |
79 | 10285 | 蘇州大學 | C |
80 | 10386 | 福州大學 | C |
81 | 10410 | 江西農業大學 | C |
82 | 10564 | 華南農業大學 | C |
83 | 10657 | 貴州大學 | C |
84 | 10689 | 云南財經大學 | C |
85 | 10710 | 長安大學 | C |
86 | 11078 | 廣州大學 | C |
87 | 10023 | 北京協和醫學院 | C- |
88 | 10151 | 大連海事大學 | C- |
89 | 10216 | 燕山大學 | C- |
90 | 10224 | 東北農業大學 | C- |
91 | 10240 | 哈爾濱商業大學 | C- |
92 | 10299 | 江蘇大學 | C- |
93 | 10315 | 南京中醫藥大學 | C- |
94 | 10366 | 安徽醫科大學 | C- |
95 | 10378 | 安徽財經大學 | C- |
96 | 10475 | 河南大學 | C- |
97 | 10512 | 湖北大學 | C- |
98 | 10635 | 西南大學 | C- |
99 | 10652 | 西南政法大學 | C- |
100 | 10671 | 貴州財經大學 | C- |
101 | 10699 | 西北工業大學 | C- |
102 | 10758 | 新疆農業大學 |
C- |
社會保障研究生院校排名
全國第四輪學科評估結果(2017年)0303 社會學排名:
本一級學科中,全國具有“博士授權”的高校共 24 所,本次參評24 所;部分具有“碩士授權”的高校 也參加了評估;參評高校共計 65 所(注:評估結果相同的高校排序不分先后,按學校代碼排列)。
序號 | 學校代碼 | 學校名稱 | 評選結果 |
1 | 10001 | 北京大學 | A+ |
2 | 10002 | 中國人民大學 | A+ |
3 | 10284 | 南京大學 | A |
4 | 10003 | 清華大學 | A- |
5 | 10246 | 復旦大學 | A- |
6 | 10280 | 上海大學 | A- |
7 | 10052 | 中央民族大學 | B+ |
8 | 10055 | 南開大學 | B+ |
9 | 10183 | 吉林大學 | B+ |
10 | 10251 | 華東理工大學 | B+ |
11 | 10269 | 華東師范大學 | B+ |
12 | 10487 | 華中科技大學 | B+ |
13 | 10558 | 中山大學 | B+ |
14 | 10019 | 中國農業大學 | B |
15 | 10294 | 河海大學 | B |
16 | 10335 | 浙江大學 | B |
17 | 10384 | 廈門大學 | B |
18 | 10486 | 武漢大學 | B |
19 | 10511 | 華中師范大學 | B |
20 | 10027 | 北京師范大學 | B- |
21 | 10034 | 中央財經大學 | B- |
22 | 10053 | 中國政法大學 | B- |
23 | 10422 | 山東大學 | B- |
24 | 10533 | 中南大學 | B- |
25 | 10691 | 云南民族大學 | B- |
26 | 10698 | 西安交通大學 | B- |
27 | 10213 | 哈爾濱工業大學 | C+ |
28 | 10345 | 浙江師范大學 | C+ |
29 | 10357 | 安徽大學 | C+ |
30 | 10610 | 四川大學 | C+ |
31 | 10651 | 西南財經大學 | C+ |
32 | 10673 | 云南大學 | C+ |
33 | 10285 | 蘇州大學 | C |
34 | 10319 | 南京師范大學 | C |
35 | 10427 | 濟南大學 | C |
36 | 10635 | 西南大學 | C |
37 | 10672 | 貴州民族大學 | C |
38 | 10712 | 西北農林科技大學 | C |
39 | 10730 | 蘭州大學 | C |
40 | 10166 | 沈陽師范大學 | C- |
41 | 10217 | 哈爾濱工程大學 | C- |
42 | 10418 | 贛南師范大學 | C- |
43 | 10542 | 湖南師范大學 | C- |
44 | 10681 | 云南師范大學 | C- |
45 | 10742 | 西北民族大學 | C- |
數據來源:教育部學位與研究生教育發展中心
2007年社會保障專業學校排名
排名 | 學校名稱 | 等級 | 排名 | 學校名稱 | 等級 | 排名 | 學校名稱 | 等級 |
1 | 武漢大學 | A+ | 5 | 北京大學 | A | 9 | 浙江大學 | A |
2 | 中國人民大學 | A+ | 6 | 上海工程技術大學 | A | 10 | 廈門大學 | A |
3 | 中南財經政法大學 | A | 7 | 遼寧大學 | A | 11 | 山西財經大學 | A |
4 | 北京師范大學 | A | 8 | 西南財經大學 | A | |||
B+等(17個):華中科技大學、蘇州大學、江西財經大學、河北大學、沈陽師范大學、西北大學、東北財經大學、貴州大學、首都經濟貿易大學、上海財經大學、西安交通大學、華東理工大學、武漢科技大學、四川大學、南京大學、同濟大學、吉林大學 |
||||||||
B等(16個):清華大學、安徽財經大學、重慶大學、浙江財經大學、西南交通大學、復旦大學、東南大學、南開大學、長春工業大學、華東師范大學、陜西師范大學、天津財經大學、云南財經大學、山東財政學院、山東經濟學院、暨南大學 |
||||||||
C等(12個):名單略 |
2015-2016年社會保障專業學校排名
|
|
|
|
1 | 中國人民大學 | 5★ | 123 |
2 | 武漢大學 | 5★ | 123 |
3 | 中南財經政法大學 | 5★ | 123 |
4 | 廈門大學 | 5★ | 123 |
5 | 上海交通大學 | 5★ | 123 |
6 | 中山大學 | 5★ | 123 |
7 | 華東師范大學 | 4★ | 123 |
8 | 東北大學 | 4★ | 123 |
9 | 南京農業大學 | 4★ | 123 |
10 | 山東大學 | 4★ | 123 |
11 | 吉林大學 | 4★ | 123 |
12 | 華中科技大學 | 4★ | 123 |
13 | 清華大學 | 4★ | 123 |
14 | 浙江大學 | 4★ | 123 |
15 | 湘潭大學 | 4★ | 123 |
16 | 東北財經大學 | 4★ | 123 |
17 | 中國農業大學 | 4★ | 123 |
18 | 西安交通大學 | 4★ | 123 |
19 | 鄭州大學 | 4★ | 123 |
20 | 四川大學 | 4★ | 123 |
社會保障考研考什么
社會保障研究生考試科目:
①101政治理論
②201英語或202俄語或203日語或211法語或212德語
③公共管理學
④社會保障
社會保障考研參考書:
部分有社會保障碩士點的高校
社會保障碩士點(120404)一覽表
2、中國人民大學
設在勞動人事學院,2000年設立。
考試科目:1、社會保障學2、勞動經濟與社會學
參考書目:
1、《社會保障學》 鄭功成 商務印書館
2、《勞動經濟學》 趙履寬 中國勞動出版社
3、《勞動經濟與勞動關系》(近兩年)報刊復印資料 中國人民大學書報資料中心
4、《社會學概論新修》鄭杭生 中國人民大學出版社
6、山東大學
設在哲學與社會發展學院,2003年獲得。
考試科目:1、社會保障概論2、社會調查研究方法
參考書目:
1、《社會保障概論》,孫光德、董克用主編,2000年6月,中國人民大學出版社
2、《社會保障概論》,張克非,高等教育出版社
3、《社會調查原理和方法》袁方等編, 高等教育出版社
8、華中科技大學
設在社會學系
考試科目:1、社會保障概論 2、公共管理學或宏觀經濟學
參考書目:
初試:
1、《社會保障學》,鄭功成著,商務印書館2000年版
2、《社會保障概論》,孫光德、董克用主編,中國人民大學出版社2000年版
3、《公共管理學》,張成福、黨秀云,中國人民大學出版社2001年版
4、或《宏觀經濟學》,梁小民,中國社會科學出版社1998年版。
《西方經濟學》(下冊,宏觀部分),高鴻業,中國經濟出版社1996年版
復試:社會保障理論與實踐,外語。形式為口試。
9、南開大學
設在法政學院,2003年新增。
考試科目:1、社會學理論或西方經濟學流派2、社會保障學
參考書目:
1、 《社會保障概論》 孫光德、董克用 中國人民大學2000年版
2、 《社會學概論》楊心恒 知識出版社1997年版
3、 《社會學概論教程》 北京大學社會學系 北京大學出版社
4、 《社會學》(美)戴維.波普諾著 李強譯 人民大學出版社
5、 《現代西方經濟學教程》(上、下冊)魏勛 南開大學出版社2001年版
6、 《西方經濟學》(上、下冊)高鴻業 中國經濟出版社1995年版
11、廈門大學
設在政治學與行政學系,
考試科目:1、政治學與行政學 2、綜合考試:
參考書目:
1、《政治學》陳振明主編,中國社會科學出版社,1999年;
2、陳振明主編:《公共管理學》(第二版),中國人民大學出版社,2003年版。
3、《社會保障概論》,孫光德主編,中國人民大學出版社,200年版;
4、《社會學概論新修》鄭杭生編著,中國人民出版社2002年版。
14、蘇州大學
設在社會學院
考試科目:初試:1、管理學原理 2、西方經濟學
復試:社會保障原理
參考書目:
1、《社會保障概論》張彥、陳紅霞編,南大出版社
2、《管理學原理》孫慧中主編,中國財經大學出版社
3、《西方經濟學》(笫二版)尹伯成主編,上海人民出版社2001年
4、《現代社會學》(第二版),吳增基等主編,上海人民出版社,2001年
5、《保險學》,陳繼儒主編,立信出版社。
16、陜西師范大學
設在國際商學院
考試科目:1、管理學 2、西經
參考書目:
1、《西方經濟學》厲以寧 高等教育出版社2000年版
2、《經濟學》(第二版,上、下冊)斯蒂格利茨 中國人民大學出版社2000年版
3、《管理學》(第四版)斯蒂芬.P.羅賓斯 中國人民大學出版社1997年版
18、北京師范大學
設在管理學院
考試科目:1、公共管理概論 2、社會保障學
參考書目:
1、《社會保障學》鄭功成 商務印書館
2、《公共管理導論》(澳)歐文.E休斯 中國人民大學出版社2001年版
3、《行政管理學概論》張國慶 北京大學出版社
20、西北大學
設在公共管理學院,
考試科目:
初試:1、西經 2、社會學(含社會研究方法)
復試:社會保障學
參考書目:
1、《社會保障》,齊海鵬著,東北財經大學出版社1999年版
2、《現代社會心理學》周小虹 上海人民出版社
3、《社會學》 【美】戴維·波譜諾著 人民大學出版社
4、《現代社會學》 吳增基 上海人民出版社
5、《微觀經濟學》《宏觀經濟學》 楊小卿、劉星海西北大學出版社2003版
6、《經濟學原理》【美】曼昆 北京大學出版社1999年版
23、吉林大學
設在哲學社會學院
考試科目:
初試:1、社會保障理論 2、社會保障國際比較
復試:綜合(社會學、社會研究方法、社會政策學)
參考書目:
1、《社會保障理論》 李珍主編,中國勞動社會保障出版社,2001年版;
2、《社會保障學》鄭功成,商務印書館,1999年版;
3、《社會保障國際比較》穆懷中主編,中國勞動社會保障出版社,2002年版;
4、《社會學概論新修》鄭杭生主編,中國人民大學出版社,2000年版;│
5、《現代社會調查方法》(第二版)風笑天,華中科技大學出版社,2001年版;
6、《社會政策與法規》葉海平、李冬妮,華東理工大學出版社,2002年版;
7、《勞動社會學教程》劉艾玉(袁方審訂),北京大學出版社,1999年版;
8、《公共管理學》張成福、黨秀云,中國人民大學出版社2001年版。
27、南京大學
設在社會學系
考試科目:
初試:1、社會學理論與方法 2、社會保障與社會工作
復試:社會保障綜合考試
參考書目:
1、《西方社會學理論》宋林飛著,南京大學出版社;
2、《現代社會調查方法》 風笑天著,華中科技大學出版社,2002年2月第二版;
3、《社會保障與管理》童星著,南京大學出版社2002年版;
4、《社會工作概論》王思斌著,高等教育出版社1999年版。
29、華東理工大學
設在社會學院
考試科目:1、社會保障與社會學理論 2、社會學研究方法
參考書目:
1、《社會保障概論》孫光德等 中國人民大學出版社
2、《社會保障概論》費梅蘋 華東理工大學出版社2003
3、《社會學概論新修》鄭杭生 中國人民大學出版社2002
4、《社會研究方法教程》袁方主編 北京大學出版社,1997
5、《現代社會研究方法》范偉達 復旦大學出版社,2001
30、四川大學
設在公共管理學院
考試科目:1、社會保障學 2、勞動經濟與人力資源管理
復試:社會保障國際比較與實務研究
參考書目:
1、《社會保險》鄧大松,中國勞動與社會保障出版社2002年版;
2、《社會保障基金管理》林義,中國勞動與社會保障出版社2002年版;
3、《勞動經濟學》楊河清,中國人民大學出版社2002年版;
4、《人力資源管理》(第二版)胡君辰、鄭紹濂,復旦大學出版社
31、沈陽師范大學
設在社會學系
考試科目:1、社會保障概論 2、社會保障綜合知識
參考書目:
1、《社會學概論新修》 鄭杭生主編 中國人民大學出版社
2、《西方經濟學教程》 梁小民主編中國統計出版社
3、《社會保障概論》 孫光德主編 高等教育出版社
32、中南財經政法大學
設在財政與公共管理學院
考試科目:1、社會保障學 2、人力資源開發與管理
參考書目:
1.《社會保障制度結構與運行分析》,中國計劃出版社1997年10月版,趙曼。
2.《人力資源開發與管理》,中國勞動社會保障出版社2002年版,趙曼。
3.《西方經濟學》,中國高等教育出版社,厲以寧。
4.《政治經濟學》,中國高等教育出版社2002年版,逄錦聚。
5.《管理學--原理與方法》(第三版),復旦大學出版社1999年6月版,周三多。
6.《勞動經濟學》,東北財經大學出版社2002年版,袁倫渠。
33、同濟大學
設在經濟與管理學院
考試科目:1、社會保障學 2、管理學概論
參考書目:
1、《社會保障學》,鄭成功,商務印書館,2000;
2、《管理學概論》,尤建新,同濟大學出版社,2002年
34、復旦大學
設在人口研究所
考試科目:1、社會統計學或衛生綜合2、社會保障或衛生統計學
參考書目:
1、社會保障概論》孫光德等中國人民出版社
2、《中國社會保障的改革與發展》王東進 法律出版社
3、《社會統計學》盧淑華 北京大學出版社1989
4、《社會研究的統計分析》李沛良 湖北人民出版社1987
37、西安交通大學
設在人文社會科學學院
考試科目:1、社會學 2、現代管理學
參考書目:
1、《社會保障概論》孫光德 董克用主編 中國人民大學出版社
2、《現代管理學》李景平 西安交大出版社2001年版
社會保障專業研究生就業:
勞動與社會保障專業就業方向
勞動與社會保障專業人才是我國全面建立和發展社會保障事業的急需人才,具有長久穩定的就業潛力。畢業生可以進入國家各級勞動與社會保障部門、人事管理部門、企業與事業單位的人力資源管理部門等從事勞動與社會保障方面的政策制定與組織管理工作,或者可以進入相關科研機構和高等院校從事研究和教學工作,或者進入法院、勞動仲裁機關等部門從事勞動與社會保障方面的實務工作。勞動與社會保障專業畢業生主要擔任人事專員、人力資源專員、人事主管、直招海員、直招船員、人事行政專員、人力資源主管、人事經理、人力資源經理等崗位工作。
勞動與社會保障專業就業前景
動與社會保障專業是公共管理的一個重要分支,社會保障是現代社會文明的重要標志,是現代社會人的基本需求及政府的基本社會政策之一,其目的是使公民在生、老、病、死、傷殘和失業的情況下,能夠從社會得到必要的物質幫助和服務,是現代社會的“安全網”和“減震閥”。隨著社會主義市場經濟體制的日益完善,社會保障在穩定社會、保障公民基本生活方面發揮著越來越重要的作用,對勞動就業問題和社會保障問題的研究也顯得越來越重要,勞動保障事業是社會主義市場經濟的重要支柱,建立與社會經濟發展水平相適應的社會保障體系,是社會穩定和國家長治久安的重要保證。因此,當前勞動社會保障系統本身需要進一步加強能力建設,需要一大批具有勞動社會保障專業知識人才,需要盡快提高服務質量,努力趕上發達國家的社會保障水平,才能在國家經濟建設中發揮重要作用,才能為構建和諧社會保駕護航。與此相對應,對相關人才——尤其是高級人才的需求也越來越強烈。所以勞動與社會保障專業具有廣闊的發展前景,勞動和社會保障專業人才是我國全面建立和發展社會保障事業的急需人才,具有長久穩定的就業潛力。因此,勞動和社會保障專業雖然是一個新專業,但其社會需求十分強烈,需求量極大,其專業發展前景極好。勞動與社會保障專業在專業學科中屬于管理學類中的公共管理類,其中公共管理類共16個專業,勞動與社會保障專業在公共管理類專業中排名第5,在整個管理學大類中排名第29位。截止到 2013年12月24日,43168位勞動與社會保障專業畢業生中10年以上工資1000元,0-2年工資3737元,應屆畢業生工資3962元,3-5年工資4513元,6-7年工資7410元,8-10年工資7985元。
2021社會保障專業考研群
南昌大學社會保障考研 推薦
- 南昌大學社會保障考研
- 南昌大學社會保障考研參考書目
- 南昌大學社會保障考研QQ群
- 南昌大學社會保障考研難嗎
- 南昌大學社會保障考研考試科目
- 南昌大學社會保障研究生分數線
- 南昌大學社會保障研究生一對一輔導
- 南昌大學社會保障研究生輔導
- 南昌大學社會保障考研輔導
- 新疆醫科大學社會保障考研
- 河北大學社會保障考研
- 遼寧大學社會保障考研
- 中南財經政法大學社會保障考研
- 云南財經大學社會保障考研
- 河北經貿大學社會保障考研
- 南京航空航天大學社會保障考研
- 中南民族大學社會保障考研
- 廣西醫科大學社會保障考研
- 內蒙古財經大學社會保障考研
- 東華理工大學社會保障考研
- 中國海洋大學社會保障考研
- 重慶醫科大學社會保障考研
- 云南大學社會保障考研
- 南昌大學社會保障考研
- 福建師范大學社會保障考研
- 山東大學社會保障考研
- 江西財經大學社會保障考研
- 華中科技大學社會保障考研
- 首都經濟貿易大學社會保障考研
- 吉林財經大學社會保障考研
- 廈門大學社會保障考研
- 中央民族大學社會保障考研
- 甘肅農業大學社會保障考研
- 中國農業大學社會保障考研
- 福州大學社會保障考研
- 山東大學社會保障考研
- 浙江財經大學社會保障考研
- 江西農業大學社會保障考研
- 江蘇師范大學社會保障考研
- 青海民族大學社會保障考研
- 浙江工商大學社會保障考研
- 南京大學社會保障考研
- 華南理工大學社會保障考研
- 中國政法大學社會保障考研
- 西南財經大學社會保障考研
- 南通大學社會保障考研
- 南開大學社會保障考研
- 浙江大學社會保障考研
- 江西師范大學社會保障考研
- 蘇州大學社會保障考研
- 華東理工大學社會保障考研
- 西南民族大學社會保障考研
- 山西財經大學社會保障考研
- 復旦大學社會保障考研
- 云南民族大學社會保障考研
- 寧夏醫科大學社會保障考研
- 成都中醫藥大學社會保障考研
- 華南師范大學社會保障考研
- 東北師范大學社會保障考研
- 吉林大學社會保障考研
- 華中師范大學社會保障考研
- 南方醫科大學社會保障考研
- 華東師范大學社會保障考研
- 山西財經大學社會保障考研
- 中央財經大學社會保障考研
- 華中農業大學社會保障考研
- 中國人民大學社會保障考研
- 東北財經大學社會保障考研
- 武漢工程大學社會保障考研
關于我們
以下資料由南昌大學社會保障研究生團隊整理提供,其團隊成員覆蓋各個院系,專門搜集本校的考研真題和高分筆記、題庫等資料。
專業課資料作為考研核心資料,部分專業重題概率極高,必須吃透,反復復習。如有需要高分研究生學長一對一輔導的,也可聯系我們安排。
考研派網站,為大家提供安全的交易平臺,資料有任何問題,均可向我們投訴,我們會督促考研派研究生團隊解決問題,保障同學們的權益。
最新購買
手機商城
掃描二維碼,更便捷的購買資料


不僅有商品,還有更多資訊和活動