中國石油大學(北京)微信
研究生為你答疑,送資源
.jpg)
因為中國石油大學(北京)油氣田開發工程專業研究生數量有限,愿意做考研輔導的數量不確定,請加我們顧問的微信進行咨詢和確認,搶先預訂研究生,以免錯失研究生輔導機會。
中國石油大學(北京)是一個不錯的學校,深受考研人的追捧,本校每年會有數千名研究生招生的名額,研究生報考錄取比在3:1左右,難度中等,部分熱門的研究生專業研究生報考錄取比會更高一點,請各位準備報考中國石油大學(北京)油氣田開發工程考研的同學注意:
中國石油大學(北京)油氣田開發工程研究生錄取分數線(或稱考研分數線)的數據。因為每年都有不少人報考中國石油大學(北京)油氣田開發工程考研,競爭激烈,所以強烈建議各位準備考中國石油大學(北京)油氣田開發工程研究生的考研人準備一些基本的歷年考研真題、
研究生學姐學長的筆記、考研經驗等等(考研派有考研經驗頻道,也有考研派微信公眾號、考研派APP等產品平臺,里面有不少研究生會免費解答你的考研問題,助你考研一臂之力),另外考研派也會為大家中國石油大學(北京)油氣田開發工程考研的參考書目、考研大綱、研究生招生咨詢電話等聯系方式。希望你考取中國石油大學(北京)
油氣田開發工程專業研究生,考研是個孤獨的事情,需要耐得住寂寞,祝愿各位考研的學生好好復習備考,來年上個985/211,實現自己的名校研究生夢想。
油氣田開發工程進入復試的人數:(招生人數—保送人數)*1.2左右=進入復試人數。
以2013年考研為例:
計劃招生119,保送33人。第一批進入復試人數120人(生源好,人數略多),第二批985調劑生(很少)。最終錄取98人。
首先要說明的是油氣田開發工程的復試包含兩部分:筆試和面試。
總成績(百分制并取整)=(初試總成績÷5)×60%+復試筆試成績×30%+(復試面試成績÷2)×10%+附加分。
從成績構成上看,面試成績似乎并不重要,其實不然。面試的表現能夠影響老師對你的直接評價,在一個面試小組中如果表現較差,也是很危險的。
下面我們來談一談復試中應該注意的事項。
1、筆試:
所有考生采用同一種試卷,考試范圍包括采油工程、油藏工程、滲流力學、油層物理、石油地質基礎(油氣田開發地質)和專業英語等六門課程,內容為以上課程的基礎知識和基本原理。卷面分值為150分(最后記入總分時折算成100分)
參考書及考試范圍:參考當年的油氣田開發工程綜合Ⅰ和綜合Ⅱ考研大綱。
綜合二自2009年開設以來,2009—2012年的復試一直比較常規,每門課程考查的都是名詞解釋和簡答題以及簡單的推導題,內容比較基礎,都是重點同時出題比初試靈活。2013年的復試發生了較大變化,主要體現在采油工程和滲流力學上,采油工程全部以選擇題形式考查,而且是不定項選擇。滲流力學給出了一個模型,進行公式推導,考查我們的理解和建模能力。2013年復試的筆試部分當年得分都很低。13年發生了重大變化是否說明13年以前的復試題不具備參考價值?答案是否定的。13年的開發地質、油層物理和油藏工程等考查的還是基礎的知識,和之前的并沒有多大變化。
在這樣的背景下,大家首相要做到的是認真掌握2009—2012年的復試題,重點永遠都是重點,不會刻意回避重點的。同時大家也要加強對基礎知識的理解運用能力。專業英語一般考查的就是翻譯能力,不會去考查什么題型(當然12年泄題事件例外),13年考查的就是幾段翻譯和抽油機各部位的英語,比如驢頭、游梁等。英語只要掌握石油工程專業英語核心幾章的內容足以對付復試的筆試和面試。
2、面試:
主要包括專業外語和專業綜合素質測試。面試成績為各復試小組平均分取平后的成績。面試的成績不會有大的差別,聽說每個人的成績控制在80—100。如果初試時找的導師比較靠譜,給你了非常肯定的答復,面試時只要表現的不是很差,問題都不大。但如果初試時名詞出在不利位置,導師也沒給肯定答復。這時面試就很重要了。如果面試表現的不好會給老師們留下不好的直觀印象。
整個面試過程分為四個步驟:
第一步:進入面試房間,抽一個紙條上面是一段專業英語。拿到紙條后,到教室的后面有幾分鐘的準備時間。當你抽紙條時,上一個同學的面試開始了。所以你的準備時間就是上一個同學的面試時間。
第二步:英文自我介紹(有時時間緊急了,會讓你用中文的),準備一段英語,兩三分鐘即可。一定要熟練,盡量發音準確,聲音大。老師們很累,不一定能聽懂你說的什么,但是你熟不熟練一看就知道了。
第三步:先讀出你抽到的專業英語,然后翻譯出來。實事求是,不要隨便翻譯,知道就是知道,不知道了,盡量翻譯通順。
第四步:老師提問專業相關的問題,一般都是基礎的問題。有時會和你的導師研究的方向有關,有時也沒關系。有些面試小組會用英語提問,提問范圍較廣。事實求實,下面的老師都是專家,不能亂說。但是當自己不確定的時候,也可以說,根據自己的理解,覺得……。
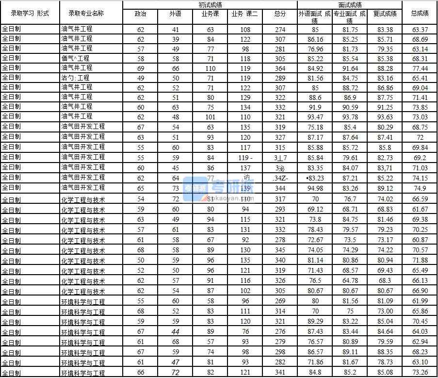
中國石油大學(北京)油氣田開發工程考研的各位同學,2020年中國石油大學(北京)油氣田開發工程研究生錄取名單終于公布了,中國石油大學(北京)油氣田開發工程是一個不錯的專業,希望各位今年的考研分數線能過2020年中國石油大學(北京)油氣田開發工程研究生錄取分數線,下面是2020年中國石油大學(北京)研究生院公布的2020年中國石油大學(北京)油氣田開發工程研究生錄取分數線和中國石油大學(北京)油氣田開發工程研究生擬錄取名單。
2020年中國石油大學(北京)油氣田開發工程研究生錄取分數線(或稱考研分數線)和中國石油大學(北京)油氣田開發工程的研究生錄取分數線是兩個不同的概念,前者是進入中國石油大學(北京)油氣田開發工程研究生復試的基本要求線,后者是2020年中國石油大學(北京)油氣田開發工程研究生錄取分數線,包含了初試復試的綜合成績。本文是2020年中國石油大學(北京)油氣田開發工程研究生錄取分數線,內容來自中國石油大學(北京)研究生院相關網站,如有出入請以中國石油大學(北京)官方網站公布的2020年中國石油大學(北京)油氣田開發工程研究生錄取分數線為準。
以下是2020年中國石油大學(北京)的研究生錄取名單,成績從高到底,供準備報考該專業研究生的同學參考:
基本信息
專業名稱:油氣田開發工程 專業代碼:082002 門類/類別:工學 學科/類別:石油與天然氣工程
專業介紹
西安石油大學為例
油氣田開發工程學科培養具備獨立從事油氣田開發工程中開發方案設計、油氣藏工程分析、采油工程實施和解決油氣藏開發工程作業問題的能力,可以取得具有一定創新意義的研究成果;能熟練地運用計算機和掌握一門外國語;能夠從事專業及相鄰專業的教學、科研、科技開發和管理工作。
本學科依托1個聯建國家工程實驗室(低滲透油氣田勘探開發國家工程實驗室)、一個教育部工程研究中心(西部低滲-特低滲油田開發與治理教育部工程研究中心)、三個省部級重點實驗室(陜西省油氣田特種增產技術重點實驗室、CNPC油層改造重點實驗室—高能氣體壓裂理論與工藝研究室、陜西省油氣田環境污染與儲層保護重點實驗室)、二個省部級工程及研究中心(CNPC高能氣體壓裂工程技術中心、陜西省油氣鉆采與污染控制工程技術研究中心),師資力量雄厚,現有教授15人,副教授14人。培養方向主要有:滲流理論和油氣藏數值模擬、采油采氣工程理論與技術、提高采收率理論與技術、油氣藏描述及開發地質建模的理論與方法。
專業點分布
中國石油勘探開發研究院 中國石油大學(北京) 中國地質大學(北京) 燕山大學 遼寧石油化工大學 東北石油大學 常州大學 中國石油大學(華東) 長江大學 中國地質大學(武漢) 西南石油大學 成都理工大學 西北大學 西安石油大學
專業院校排名
0820 石油與天然氣工程
本一級學科中,全國具有“博士授權”的高校共 7 所,本次參評 6 所;部分具有“碩士授權”的高校 也參加了評估;參評高校共計 10 所(注:評估結果相同的高校排序不分先后,按學校代碼排列)
序號 |
學校代碼 |
學校名稱 |
評選結果 |
1 |
10615 |
西南石油大學 |
A+ |
2 |
11414 |
中國石油大學 |
A+ |
3 |
10220 |
東北石油大學 |
B |
4 |
10491 |
中國地質大學 |
B- |
5 |
10489 |
長江大學 |
C+ |
6 |
10705 |
西安石油大學 |
C |
7 |
10616 |
成都理工大學 |
C- |
油氣田開發工程研究生考試科目:
①101思想政治理論
②201英語一或202俄語或203日語
③302數學二
④802力學基礎(二)
(以東北石油大學為例,不同院校略有不同,僅供參考)
油氣田開發工程考研參考書:
1、《滲流力學》,翟云芳,石油工業出版社
2、《石油工程》,陳濤平,石油工業出版社
3、《提高石油采收率基礎》,岳湘安,石油工業出版社
4、《油層物理》,何更生,石油工業出版社
(以東北石油大學為例,不同院校略有不同,僅供參考)
油氣田開發工程專業研究生就業:
油氣田開發工程就業方向
油田開發是一個綜合應用多學科的龐大工程,其需要很多專業人才的支持。油氣田開發工程專業的人才更是其中必不可少的。目前我國石油勘探開發發展迅速,深水石油勘探開發更是處在起步的階段,所以這一切都可以說明,油氣田開發工程專業的畢業生有很好的就業前景,而且未來會有很好的發展。
油氣田開發工程碩士畢業生工作范圍較廣,主要是去陸地與海洋等國有石油單位或者相關的私營油氣公司,石油勘探開發研究與規劃機構,研究院所、高等院校等研究型單位以及油田技術服務與工程施工單位從事油氣藏工程、完井與油氣井測試、采油氣工程、油氣藏增產、油氣層保護等領域到工程設計、研究與管理工作。